Dernière mise à jour le 30/03/2026
SEASONIQUE 150 microgrammes/30 microgrammes + 10 microgrammes, comprimé pelliculé
Présentations
> plaquette(s) PVC TE (thermo-élastique) PVDC aluminium de 84 comprimés roses et 7 comprimés blancs
Code CIP : 34009 300 105 1 8
Déclaration de commercialisation : 29/09/2015
Cette présentation n'est pas agréée aux collectivités
Documents de bon usage du médicament
- Contraception chez la femme en post-partum
Auteur : Haute autorité de santé
Type : Fiche mémo
Date de mise à jour :Septembre 2019
- Contraception d’urgence
Auteur : Haute autorité de santé
Type : Fiche mémo
Date de mise à jour :Septembre 2019
- Contraception chez l’homme
Auteur : Haute autorité de santé
Type : Fiche mémo
Date de mise à jour :Septembre 2019
- Stérilisation à visée contraceptive chez l’homme et chez la femme
Auteur : Haute autorité de santé
Type : Fiche mémo
Date de mise à jour :Septembre 2019
- Contraception chez la femme adulte et de l'adolescente en âge de procréer (hors post-partum et post-IVG)
Auteur : Haute autorité de santé
Type : Fiche mémo
Date de mise à jour :Septembre 2019
- Contraception chez la femme à risque cardio-vasculaire
Auteur : Haute autorité de santé
Type : Fiche mémo
Date de mise à jour :Septembre 2019
- Contraception : prescriptions et conseils aux femmes
Auteur : Haute autorité de santé
Type : Fiche mémo
Date de mise à jour :Septembre 2019
- Contraception hormonale orale : dispensation en officine
Auteur : Haute autorité de santé
Type : Fiche mémo
Date de mise à jour :Septembre 2019
- Contraception d’urgence : dispensation en officine
Auteur : Haute autorité de santé
Type : Fiche mémo
Date de mise à jour :Septembre 2019
- Contraception estroprogestative transdermique ou vaginale : dispensation en officine
Auteur : Haute autorité de santé
Type : Fiche mémo
Date de mise à jour :Septembre 2019
- Contraception chez la femme après une interruption volontaire de grossesse (IVG)
Auteur : Haute autorité de santé
Type : Fiche mémo
Date de mise à jour :Septembre 2019
- Méthodes contraceptives : Focus sur les méthodes les plus efficaces disponibles
Auteur : Haute autorité de santé
Type : Evaluation des technologies de santé
Date de mise à jour :Novembre 2017
- Contraceptifs oraux estroprogestatifs : préférez les «pilules» de 1re ou 2e génération
Auteur : Haute autorité de santé
Type : Fiche Bon Usage du Médicament
Date de mise à jour :Janvier 2013
Service médical rendu (SMR)
Pas de SMR disponible pour ce médicament ( plus d'informations dans l'aide )
Amélioration du service médical rendu (ASMR)
Pas d'ASMR disponible pour ce médicament (plus d'informations dans l'aide )
ANSM - Mis à jour le : 28/10/2025
SEASONIQUE 150 microgrammes/30 microgrammes + 10 microgrammes, comprimé pelliculé
2. COMPOSITION QUALITATIVE ET QUANTITATIVE
Chaque comprimé pelliculé rose contient 150 microgrammes de lévonorgestrel et 30 microgrammes d'éthinylestradiol.
Chaque comprimé pelliculé blanc contient 10 microgrammes d'éthinylestradiol.
Excipients à effet notoire :
Chaque comprimé pelliculé rose contient : 63,02 mg de lactose et 0,169 mg de rouge Allura (E129).
Chaque comprimé pelliculé blanc contient : 69,20 mg de lactose.
Pour la liste complète des excipients, voir rubrique 6.1.
Comprimé pelliculé.
Les comprimés lévonorgestrel/éthinyestradiol sont ronds, biconvexes, roses, d'environ 5,7 mm de diamètre, portant l'inscription « 172 » sur une face et « T » sur l'autre face.
Les comprimés d’éthinylestradiol sont ronds, biconvexes, blancs, d'environ 5,7 mm de diamètre, portant l'inscription « 173 » sur une face et « T » sur l'autre face.
4.1. Indications thérapeutiques
Contraception orale.
La décision de prescrire Seasonique doit être prise en tenant compte des facteurs de risque de la patiente, notamment ses facteurs de risque de thrombo-embolie veineuse (TEV), ainsi que du risque de TEV associé à Seasonique en comparaison aux autres CHC (contraceptifs hormonaux combinés) (voir rubriques 4.3 et 4.4).
4.2. Posologie et mode d'administration
Posologie
Seasonique est un contraceptif oral à cycle prolongé, où les comprimés doivent être pris en continu pendant 91 jours. La boîte suivante correspondant à un nouveau cycle de 91 jours doit être entamée le lendemain de la prise du dernier comprimé de la boîte précédente.
Chaque boîte de Seasonique contient 84 comprimés de l'association de 150 microgrammes de lévonorgestrel et de 30 microgrammes d'éthinylestradiol et 7 comprimés de 10 microgrammes d'éthinylestradiol.
Comment utiliser Seasonique
La prise des comprimés est continue pendant 91 jours. Un comprimé doit être pris par voie orale à la même heure chaque jour dans l'ordre indiqué sur la plaquette thermoformée.
Prendre un comprimé rose contenant du lévonorgestrel et de l'éthinylestradiol tous les jours pendant 84 jours consécutifs, suivi d'un comprimé blanc d'éthinylestradiol pendant 7 jours, période au cours de laquelle une hémorragie de privation se produira normalement.
Comment débuter la prise de Seasonique
Les comprimés doivent être pris tous les jours à peu près à la même heure, si nécessaire avec un peu d’eau, dans l'ordre indiqué sur la plaquette thermoformée. Prendre un comprimé tous les jours pendant 91 jours consécutifs. Prendre un comprimé rose tous les jours pendant 84 jours consécutifs, suivi d'un comprimé blanc pendant 7 jours consécutifs. Une hémorragie de privation se produira normalement pendant la période de 7 jours de prise des comprimés blancs.
Commencer chaque cycle suivant de 91 jours sans interruption le même jour de la semaine que celui de la première prise de Seasonique, en suivant le même schéma.
· Pas de prise antérieure d'un contraceptif hormonal (au cours du dernier mois)
La prise des comprimés doit commencer le jour 1 du cycle menstruel normal (c'est-à-dire le premier jour des règles). La prise de Seasonique peut débuter plus tard (entre le 2e et le 5e jour du cycle) mais, dans ce cas, l'utilisation simultanée d'une méthode contraceptive barrière est recommandée pendant les 7 premiers jours de prise des comprimés.
· Relais d'un contraceptif hormonal combiné (Contraceptif Oral Combiné (COC), anneau vaginal, dispositif transdermique)
La prise de Seasonique doit débuter le jour suivant la prise du dernier comprimé actif (le dernier comprimé contenant les substances actives) du COC précédent. En cas d'utilisation antérieure d'un anneau vaginal ou d'un dispositif transdermique, l’utilisation de Seasonique doit commencer le jour du retrait de l'anneau ou du dispositif et, au plus tard, le jour où l'application suivante aurait dû être faite.
· Relais d’une contraception progestative seule (pilule progestative, injection, implant) ou d'un Système Intra-Utérin (SIU) libérant un progestatif
Le relais de la pilule progestative peut être effectué n'importe quel jour (le relais de l'implant ou du SIU doit être effectué le jour de son retrait ; le relais de l’injection doit être débuté le jour prévu pour l’injection suivante). Dans tous ces cas, l'utilisation simultanée d'une méthode contraceptive barrière est recommandée pendant les 7 premiers jours de prise des comprimés.
· Après un avortement/fausse-couche au 1er trimestre
La prise des comprimés peut débuter immédiatement. Dans ce cas, il ne sera pas nécessaire de prendre des mesures contraceptives complémentaires.
· Après un accouchement ou un avortement/fausse-couche au 2e trimestre
Il est recommandé de commencer la prise des comprimés entre 21 et 28 jours après un accouchement ou un avortement au 2e trimestre. En cas de début plus tardif, il est recommandé d'utiliser simultanément une méthode contraceptive barrière pendant les 7 premiers jours de prise des comprimés. Si des rapports sexuels ont déjà eu lieu, il convient de s'assurer d'une absence de grossesse avant de commencer la prise du CHC ou d’attendre les règles suivantes.
Néanmoins, l’augmentation du risque de TEV en période post-partum doit être prise en compte (voir rubriques 4.4 et 4.6).
Pour les femmes qui allaitent, voir rubrique 4.6.
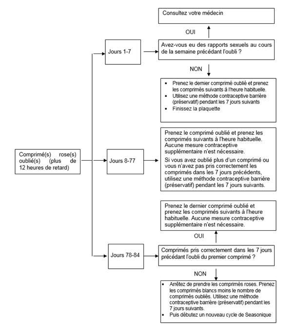
Oubli de comprimés
L'efficacité contraceptive peut être réduite en cas d’oubli de comprimés roses, et notamment en cas d’oubli des premiers comprimés de la plaquette.
En cas d'oubli d’un comprimé rose depuis moins de 12 heures, le comprimé oublié doit être pris dès que possible et les comprimés suivants seront pris à l'heure habituelle.
En cas d'oubli d’un ou plusieurs comprimés roses depuis plus de 12 heures, l'efficacité contraceptive peut être réduite. Les deux règles de base suivantes s'appliquent en cas d'oubli de comprimés :
1. La prise des comprimés ne doit jamais être interrompue pendant plus de 7 jours
2. 7 jours de prise ininterrompue du traitement sont nécessaires afin d’obtenir une inhibition correcte de l'axe hypothalamo-hypophyso-ovarien.
Les conseils suivants seront donc donnés en pratique :
Oubli de comprimés roses de lévonorgestrel/éthinylestradiol
· Entre le 1er et le 7e jour (1re semaine)
La femme doit prendre le dernier comprimé rose oublié dès qu'elle s’en aperçoit, même si cela implique la prise de deux comprimés en même temps. Elle continuera ensuite à prendre les comprimés à l’heure habituelle. De plus, une méthode contraceptive barrière, par exemple un préservatif, doit être utilisé pendant les 7 jours suivants. Si des rapports sexuels ont eu lieu au cours des 7 jours précédents, la possibilité d’une grossesse doit être envisagée. Plus le nombre de comprimés oubliés est élevé et l’oubli proche de la phase de prise des comprimés blancs, plus le risque de grossesse sera élevé.
· Entre le 8e et le 77e jour (2e à 11e semaine)
La femme doit prendre le dernier comprimé rose oublié dès qu'elle s’en aperçoit, même si cela implique la prise de deux comprimés en même temps. Elle continuera ensuite à prendre les comprimés à l’heure habituelle. Si la femme a pris ses comprimés correctement au cours des 7 jours précédant le premier comprimé oublié, il n'est pas nécessaire d’utiliser des mesures contraceptives complémentaires. Toutefois, si la femme a oublié plus d’un comprimé, il faut lui recommander de prendre des précautions supplémentaires pendant 7 jours.
· Entre le 78e et le 84e jour (12e semaine)
Le risque d’efficacité réduite est imminent en raison de la proximité de la période de 7 jours de prise des comprimés d’éthinylestradiol seul. Il est cependant encore possible d'empêcher la diminution de la protection contraceptive en ajustant le schéma de prise des comprimés. Il n’est pas nécessaire de prendre des mesures contraceptives complémentaires, à condition que la femme ait pris correctement tous les comprimés durant les 7 jours précédant l’oubli du premier comprimé. Si tel n’est pas le cas, elle doit prendre des mesures contraceptives complémentaires pendant les 7 jours suivants et doit arrêter de prendre les comprimés roses et prendre les comprimés blancs d'éthinylestradiol seul, moins le nombre de comprimés qu’elle a oubliés, afin de provoquer des hémorragies de privation. Par la suite, elle peut débuter un nouveau cycle de Seasonique.
Oubli de comprimés blancs d'éthinylestradiol (13e semaine)
Les comprimés oubliés ne seront pas remplacés et les comprimés restants seront pris à l'heure habituelle jusqu'à la fin de la plaquette. Il ne sera pas nécessaire de prendre des mesures contraceptives supplémentaires.
En cas d’absence d’hémorragies de privation pendant la 13e semaine (pendant la prise des comprimés blancs d'éthinylestradiol), la possibilité d'une grossesse doit être exclue avant de commencer un nouveau cycle de 91 jours.
Conduite à tenir en cas de troubles gastro-intestinaux
En cas de troubles gastro-intestinaux sévères (par exemple des vomissements ou une diarrhée), l’absorption d’un comprimé peut ne pas être complète et des mesures contraceptives supplémentaires doivent être prises.
En cas de vomissements pendant les 3 à 4 heures suivant la prise d'un comprimé, les conseils concernant les comprimés oubliés devront être suivis.
Pour ne pas modifier l’ordre de prise des comprimés, le ou les comprimés roses supplémentaires devant être pris peuvent être prélevés dans la dernière rangée (12e semaine).
Population pédiatrique
La sécurité et l'efficacité de Seasonique chez les femmes en âge de procréer âgées de moins de 18 ans n'ont pas été établies.
Mode d’administration : voie orale.
Les contraceptifs hormonaux combinés (CHC) ne doivent pas être utilisés dans les situations suivantes. En cas d'apparition d'une des affections suivantes pour la première fois pendant la prise d'un CHC, l'utilisation de ce produit doit cesser immédiatement.
· Présence ou risque de thrombo-embolie veineuse (TEV) :
o Thrombo-embolie veineuse – présence de TEV (patiente traitée par des anticoagulants) ou antécédents de TEV (p. ex. thrombose veineuse profonde [TVP] ou embolie pulmonaire [EP]) ;
o Prédisposition connue, héréditaire ou acquise, à la thrombo-embolie veineuse, telle qu’une résistance à la protéine C activée (PCa) (y compris une mutation du facteur V de Leiden), un déficit en antithrombine III, un déficit en protéine C, un déficit en protéine S ;
o Intervention chirurgicale majeure avec immobilisation prolongée (voir rubrique 4.4) ;
o Risque élevé de thrombo-embolie veineuse dû à la présence de multiples facteurs de risque (voir rubrique 4.4).
· Présence ou risque de thrombo-embolie artérielle (TEA) :
o Thrombo-embolie artérielle – présence ou antécédents de thrombo-embolie artérielle (p. ex. infarctus du myocarde [IM]) ou de prodromes (p. ex. angine de poitrine) ;
o Affection cérébrovasculaire – présence ou antécédents d’accident vasculaire cérébral (AVC) ou de prodromes (p. ex. accident ischémique transitoire [AIT]) ;
o Prédisposition connue, héréditaire ou acquise, à la thrombo-embolie artérielle, telle qu’une hyperhomocystéinémie ou la présence d’anticorps anti-phospholipides (anticorps anti-cardiolipine, anticoagulant lupique) ;
o Antécédents de migraine avec signes neurologiques focaux ;
o Risque élevé de thrombo-embolie artérielle dû à la présence de multiples facteurs de risque (voir rubrique 4.4) ou d’un facteur de risque sévère tel que :
§ diabète avec symptômes vasculaires ;
§ hypertension artérielle sévère ;
§ dyslipoprotéinémie sévère.
· Pancréatite ou antécédent de pancréatite, en cas d'association avec une hypertriglycéridémie sévère ;
· Affection hépatique sévère ou antécédent d’affection hépatique sévère, en l’absence de normalisation des tests fonctionnels hépatiques ;
· Tumeur hépatique (bénigne ou maligne) évolutive ou antécédent ;
· Tumeur maligne hormono-dépendante connue ou suspectée (par exemple des organes génitaux ou des seins) ;
· Saignements vaginaux non diagnostiqués ;
· En association avec du millepertuis (Hypericum perforatum) ;
· Hypersensibilité aux substances actives ou à l'un des excipients mentionnés à la rubrique 6.1 ;
· L’utilisation concomitante de Seasonique et d’autres médicaments contenant de l’ombitasvir/du paritaprévir/du ritonavir ,dasabuvir glecaprevir/pibrentasvir et du sofosbuvir/velpatasvir/voxilaprevir est contre-indiquée (voir rubriques 4.4 et 4.5).
4.4. Mises en garde spéciales et précautions d'emploi
Mises en garde
Si la patiente présente l’un des troubles ou l’un des facteurs de risque mentionnés ci-dessous, la pertinence du traitement par Seasonique doit être discutée avec elle.
En cas d'aggravation, d’exacerbation ou d'apparition de l’un de ces troubles ou facteurs de risque, la nécessité d’interrompre l’utilisation de Seasonique doit être discutée entre le médecin et la patiente.
Troubles circulatoires
Risque de thrombo-embolie veineuse (TEV)
Le risque de thrombo-embolie veineuse (TEV) est augmenté chez les femmes qui utilisent un contraceptif hormonal combiné (CHC) en comparaison aux femmes qui n’en utilisent pas. Les CHC contenant du lévonorgestrel, du norgestimate ou de la noréthistérone sont associés au risque de TEV le plus faible. Les données d’une étude rétrospective de cohorte suggèrent que le risque de TEV associé à Seasonique est 1,4 fois plus élevé (HR 1,4, IC 95% 0,90 – 2,19) comparé aux CHC contenant du lévonorgestrel, utilisé pendant un cycle de 28 jours. Les données suggèrent que ce risque est davantage augmenté chez les femmes utilisant Seasonique comme premier traitement contraception orale. La décision d’utiliser Seasonique doit être prise uniquement après concertation avec la patiente afin de s’assurer qu’elle comprend le risque de TEV associé aux CHC, l’influence de ses facteurs de risque actuels sur ce risque et le fait que le risque de TEV est maximal pendant la première année d’utilisation. Certaines données indiquent également une augmentation du risque lors de la reprise d’un CHC après une interruption de 4 semaines ou plus.
Parmi les femmes qui n’utilisent pas de CHC et qui ne sont pas enceintes, environ 2 sur 10 000 développeront une TEV sur une période d’un an. Cependant, chez une femme donnée, le risque peut être considérablement plus élevé, selon les facteurs de risque qu’elle présente (voir ci-dessous).
Les études épidémiologiques concernant les femmes qui utilisent des contraceptifs oraux combinés faiblement dosés (< 50 μg d’éthinylestradiol) ont montré que, sur 10 000 femmes, environ 6 à 12 développeront une TEV sur une période d’un an.
On estime que sur 10 000 femmes qui utilisent un CHC contenant du lévonorgestrel, environ 6[1] développeront une TEV sur une période d’un an.
Le nombre de TEV par année avec des CHC faiblement dosés est inférieur à celui attendu pendant la grossesse ou en période post-partum.
La TEV peut être fatale dans 1 à 2 % des cas.
De façon extrêmement rare, des cas de thrombose ont été signalés chez des utilisatrices de CHC dans d’autres vaisseaux sanguins, par exemple les veines et artères hépatiques, mésentériques, rénales ou rétiniennes.
Facteurs de risque de TEV
Le risque de complications thrombo-emboliques veineuses chez les utilisatrices de CHC peut être considérablement accru si d’autres facteurs de risque sont présents, en particulier si ceux-ci sont multiples (voir le tableau ci-dessous).
Seasonique est contre-indiqué chez les femmes présentant de multiples facteurs de risque, ceux-ci les exposant à un risque élevé de thrombose veineuse (voir rubrique 4.3). Lorsqu’une femme présente plus d’un facteur de risque, il est possible que l’augmentation du risque soit supérieure à la somme des risques associés à chaque facteur pris individuellement – dans ce cas, le risque global de TEV doit être pris en compte. Si le rapport bénéfice/risque est jugé défavorable, le CHC ne doit pas être prescrit (voir rubrique 4.3).
Tableau : Facteurs de risque de TEV
|
Facteur de risque |
Commentaire |
|
Obésité (indice de masse corporelle supérieur à 30 kg/m²) |
L’élévation de l’IMC augmente considérablement le risque. Ceci est particulièrement important à prendre en compte si d’autres facteurs de risque sont présents. |
|
Immobilisation prolongée, intervention chirurgicale majeure, toute intervention chirurgicale sur les jambes ou le bassin, neurochirurgie ou traumatisme majeur.
Remarque : l’immobilisation temporaire, y compris les trajets aériens > 4 heures, peut également constituer un facteur de risque de TEV, en particulier chez les femmes présentant d’autres facteurs de risque. |
Dans ces situations, il est conseillé de suspendre l’utilisation de la pilule (au moins quatre semaines à l’avance en cas de chirurgie programmée) et de ne reprendre le CHC que deux semaines au moins après la complète remobilisation. Une autre méthode de contraception doit être utilisée afin d’éviter une grossesse non désirée.
Un traitement anti-thrombotique devra être envisagé si Seasonique n’a pas été interrompu à l’avance. |
|
Antécédents familiaux (thrombo-embolie veineuse survenue dans la fratrie ou chez un parent, en particulier à un âge relativement jeune, c.-à-d. avant 50 ans). |
En cas de prédisposition héréditaire suspectée, la femme devra être adressée à un spécialiste pour avis avant toute décision concernant l’utilisation de CHC. |
|
Autres affections médicales associées à la TEV |
Cancer, lupus érythémateux disséminé, syndrome hémolytique et urémique, maladies inflammatoires chroniques intestinales (maladie de Crohn ou rectocolite hémorragique) et drépanocytose. |
|
Âge |
En particulier au-delà de 35 ans |
Il n’existe aucun consensus quant au rôle éventuel joué par les varices et les thrombophlébites superficielles dans l’apparition ou la progression d’une thrombose veineuse.
L’augmentation du risque de thrombo-embolie pendant la grossesse, et en particulier pendant les 6 semaines de la période puerpérale, doit être prise en compte (pour des informations concernant « Grossesse et allaitement », voir rubrique 4.6).
Symptômes de TEV (thrombose veineuse profonde et embolie pulmonaire)
Les femmes doivent être informées qu’en cas d’apparition de ces symptômes, elles doivent consulter un médecin en urgence et lui indiquer qu’elles utilisent un CHC.
Les symptômes de la thrombose veineuse profonde (TVP) peuvent inclure :
· gonflement unilatéral d’une jambe et/ou d’un pied ou le long d’une veine de la jambe ;
· douleur ou sensibilité dans une jambe, pouvant n’être ressentie qu’en position debout ou lors de la marche ;
· sensation de chaleur, rougeur ou changement de la coloration cutanée de la jambe affectée.
Les symptômes de l’embolie pulmonaire (EP) peuvent inclure :
· apparition soudaine et inexpliquée d’un essoufflement ou d’une accélération de la respiration ;
· toux soudaine, pouvant être associée à une hémoptysie ;
· douleur thoracique aiguë ;
· étourdissements ou sensations vertigineuses sévères ;
· battements cardiaques rapides ou irréguliers.
Certains de ces symptômes (p. ex. « essoufflement », « toux ») ne sont pas spécifiques et peuvent être interprétés à tort comme des signes d’événements plus fréquents ou moins sévères (infections respiratoires, p. ex.).
Les autres signes d’une occlusion vasculaire peuvent inclure : douleur soudaine, gonflement et coloration légèrement bleutée d’une extrémité.
Si l’occlusion se produit dans l’œil, les symptômes peuvent débuter sous la forme d’une vision trouble indolore pouvant évoluer vers une perte de la vision. Dans certains cas, la perte de la vision peut survenir presque immédiatement.
Risque de thrombo-embolie artérielle (TEA)
Des études épidémiologiques ont montré une association entre l’utilisation de CHC et l’augmentation du risque de thrombo-embolie artérielle (infarctus du myocarde) ou d’accident cérébrovasculaire (p. ex. accident ischémique transitoire, AVC). Les données d’une étude rétrospective longitudinale suggèrent un risque plus élevé de TEA associé à Seasonique comparé à 28 jours de CHC contenant du lévonorgestrel. Les événements thrombo-emboliques artériels peuvent être fatals.
Facteurs de risque de TEA
Le risque de complications thrombo-emboliques artérielles ou d’accident cérébrovasculaire chez les utilisatrices de CHC augmente avec la présence de facteurs de risque (voir le tableau). Seasonique est contre-indiqué chez les femmes présentant un facteur de risque sévère ou de multiples facteurs de risque de TEA qui les exposent à un risque élevé de thrombose artérielle (voir rubrique 4.3). Lorsqu’une femme présente plus d’un facteur de risque, il est possible que l’augmentation du risque soit supérieure à la somme des risques associés à chaque facteur pris individuellement – dans ce cas, le risque global doit être pris en compte. Si le rapport bénéfice/risque est jugé défavorable, le CHC ne doit pas être prescrit (voir rubrique 4.3).
Tableau : Facteurs de risque de TEA
|
Facteur de risque |
Commentaire |
|
Age |
En particulier au-delà de 35 ans |
|
Tabagisme |
Il doit être conseillé aux femmes de ne pas fumer si elles souhaitent utiliser un CHC. Il doit être fortement conseillé aux femmes de plus de 35 ans qui continuent de fumer d’utiliser une méthode de contraception différente. |
|
Hypertension artérielle |
|
|
Obésité (indice de masse corporelle supérieur à 30 kg/m²) |
L’élévation de l’IMC augmente considérablement le risque. Ceci est particulièrement important à prendre en compte chez les femmes présentant d’autres facteurs de risque. |
|
Antécédents familiaux (thrombo-embolie artérielle survenue dans la fratrie ou chez un parent, en particulier à un âge relativement jeune, c.-à-d. avant 50 ans) |
En cas de prédisposition héréditaire suspectée, la femme devra être adressée à un spécialiste pour avis avant toute décision concernant l’utilisation de CHC. |
|
Migraine |
L’accroissement de la fréquence ou de la sévérité des migraines lors de l’utilisation d’un CHC (qui peut être le prodrome d’un événement cérébrovasculaire) peut constituer un motif d’arrêt immédiat du CHC. |
|
Autres affections médicales associées à des événements indésirables vasculaires |
Diabète, hyperhomocystéinémie, valvulopathie cardiaque et fibrillation auriculaire, dyslipoprotéinémie et lupus érythémateux disséminé |
Symptômes de TEA
Les femmes doivent être informées qu’en cas d’apparition de ces symptômes, elles doivent consulter un médecin en urgence et lui indiquer qu’elles utilisent un CHC.
Les symptômes d’un accident cérébrovasculaire peuvent inclure :
· apparition soudaine d’un engourdissement ou d’une faiblesse du visage, d’un bras ou d’une jambe, en particulier d’un côté du corps ;
· apparition soudaine de difficultés à marcher, de sensations vertigineuses, d’une perte d’équilibre ou de coordination ;
· apparition soudaine d’une confusion, de difficultés à parler ou à comprendre ;
· apparition soudaine de difficultés à voir d’un œil ou des deux yeux ;
· céphalée soudaine, sévère ou prolongée, sans cause connue ;
· perte de conscience ou évanouissement avec ou sans crise convulsive.
Des symptômes temporaires suggèrent qu’il s’agit d’un accident ischémique transitoire (AIT).
Les symptômes de l’infarctus du myocarde (IM) peuvent inclure :
· douleur, gêne, pression, lourdeur, sensation d’oppression ou d’encombrement dans la poitrine, le bras ou sous le sternum ;
· sensation de gêne irradiant vers le dos, la mâchoire, la gorge, le bras, l’estomac ;
· sensation d’encombrement, d’indigestion ou de suffocation ;
· transpiration, nausées, vomissements ou sensations vertigineuses ;
· faiblesse, anxiété ou essoufflement extrêmes ;
· battements cardiaques rapides ou irréguliers.
Tumeurs
Certaines études épidémiologiques suggèrent que la prise de CHC à long terme (> 5 ans) pourrait être associée à une augmentation du risque de cancer du col de l’utérus. Il n’est cependant pas établi dans quelle mesure cette augmentation du risque est liée à des facteurs confondants tels que le comportement sexuel et d’autres facteurs comme le papilloma virus humain (HPV).
Une méta-analyse de 54 études épidémiologiques a conclu qu’il existe une légère augmentation du risque relatif (RR = 1,24) de cancer du sein chez les femmes sous CHC. Cette majoration du risque disparaît progressivement au cours des 10 ans qui suivent l’arrêt d’un CHC. Le cancer du sein étant rare chez les femmes de moins de 40 ans, le nombre plus élevé de cancers diagnostiqués chez les utilisatrices habituelles ou nouvelles utilisatrices d’un CHC reste faible par rapport au risque global de cancer du sein. Ces études ne permettent pas d’établir une relation de causalité. Il est possible que, chez les utilisatrices de CHC, cette augmentation du risque soit due à un diagnostic plus précoce du cancer du sein, aux effets biologiques de cette contraception ou à l’association des deux. Les cancers du sein diagnostiqués chez les femmes utilisant ou ayant utilisé un COC ont tendance à être moins évolués cliniquement par rapport à ceux diagnostiqués chez des femmes n’en ayant jamais utilisé.
Dans de rares cas, des tumeurs bénignes du foie et, dans de plus rares cas encore, des tumeurs malignes du foie ont été rapportées chez des utilisatrices de CHC. Dans des cas isolés, ces tumeurs ont conduit à des hémorragies intra-abdominales mettant en jeu le pronostic vital. Chez les femmes sous CHC, la survenue de douleurs de la partie supérieure de l’abdomen, d’une augmentation du volume du foie ou de signes d’hémorragie intra-abdominale doit faire évoquer une tumeur hépatique.
L'utilisation de CHC plus fortement dosés (50 µg d'éthinylestradiol) diminue le risque de cancer de l'endomètre et de l'ovaire. Ceci demande à être confirmé avec les CHC plus faiblement dosés.
Autres pathologies
Les femmes atteintes d'hypertriglycéridémie ou avec une prédisposition héréditaire à cette affection pourraient présenter un risque accru de pancréatite quand elles prennent des CHC.
Une augmentation modérée de la pression artérielle a été observée chez de nombreuses femmes sous CHC mais les cas cliniquement significatifs sont rares. Une interruption immédiate du CHC n’est justifiée que dans ces rares cas. La persistance de chiffres tensionnels élevés ou le non contrôle des chiffres tensionnels par un traitement antihypertenseur chez une femme hypertendue prenant un CHC doit faire interrompre celui-ci. Le CHC pourra éventuellement être repris après normalisation des chiffres tensionnels par un traitement antihypertenseur.
La survenue ou l’aggravation des pathologies suivantes a été observée au cours de la grossesse ou chez des femmes prenant des CHC, bien que la responsabilité des CHC n’ait pu être établie : ictère et/ou prurit dû à une cholestase, lithiase biliaire, porphyrie, lupus érythémateux disséminé, syndrome hémolytique et urémique, chorée de Sydenham, herpès gravidique, hypoacousie par otosclérose.
Les estrogènes exogènes peuvent induire ou aggraver des symptômes d’angiœdème héréditaire et acquis.
La survenue d’anomalies hépatiques aiguës ou chroniques, peut nécessiter l’arrêt du CHC jusqu’à la normalisation des paramètres hépatiques. La récidive d’un ictère cholestatique et/ou d’un prurit liés à une cholestase survenue au cours d’une grossesse précédente ou lors de la prise antérieure d’hormones stéroïdiennes doit faire arrêter le CHC.
Bien que les CHC puissent avoir un effet sur la résistance périphérique à l’insuline et la tolérance au glucose, il n’est cependant pas obligatoire de modifier le traitement chez des diabétiques utilisant un CHC faiblement dosé (contenant moins de 0,05 mg d’éthinylestradiol). Les femmes diabétiques doivent cependant être étroitement surveillées, en particulier lors de l’instauration d’un CHC.
Des cas d’aggravations de dépression endogène, d’épilepsie, de maladie de Crohn et de rectocolite hémorragique ont été observés lors de la prise de CHC.
Un chloasma peut survenir, en particulier chez les femmes ayant des antécédents de chloasma gravidique. Les femmes ayant une prédisposition au chloasma sous CHC doivent éviter de s’exposer au soleil ou aux rayons ultraviolets.
L’état dépressif et la dépression sont des effets indésirables bien connus liés à l’utilisation de contraceptifs hormonaux (voir rubrique 4.8). La dépression peut être grave et constitue un facteur de risque bien connu de comportement suicidaire et de suicide. Il convient de conseiller aux femmes de contacter leur médecin en cas de changements d’humeur et de symptômes dépressifs, y compris peu de temps après le début du traitement.
Consultation/examen médical
L’instauration ou la reprise d’un traitement par Seasonique doit être précédée du recueil complet des antécédents médicaux (y compris les antécédents familiaux). Une éventuelle grossesse devra être écartée. Un examen clinique complet, incluant une mesure de la pression artérielle, doit être effectué en tenant compte des contre-indications (voir rubrique 4.3) et des mises en garde (voir rubrique 4.4). Il est important d’attirer l’attention des patientes sur les informations relatives à la thrombose veineuse et artérielle, y compris le risque associé à Seasonique comparé à celui associé aux autres CHC, les symptômes de la TEV et de la TEA, les facteurs de risque connus et la conduite à tenir en cas de suspicion de thrombose.
Il sera conseillé aux femmes de lire attentivement la notice du produit et d’en respecter les recommandations. La fréquence et la nature des examens pratiqués tiendront compte des recommandations médicales établies et seront adaptées à chaque patiente.
Les femmes doivent être informées que les contraceptifs hormonaux ne protègent pas contre l’infection par le VIH (SIDA) ou les autres maladies sexuellement transmissibles.
Efficacité réduite
L’efficacité des CHC peut être réduite, par exemple en cas d’oubli de comprimés (voir rubrique 4.2), de troubles gastro-intestinaux pendant la prise des comprimés actifs (voir rubrique 4.2) ou d’utilisation concomitante de médicaments (voir rubrique 4.5).
Troubles du cycle
Avec tous les CHC, des saignements irréguliers (« spottings » ou métrorragies) peuvent survenir, en particulier pendant les 3 premiers mois d’utilisation. L’évaluation de la régularité des saignements doit être réalisée si les saignements persistent.
Dans les essais cliniques de Seasonique, les hémorragies (de privation) programmées et/ou les spottings ont été relativement constants avec le temps, avec en moyenne 3 jours de saignement et/ou spottings par cycle de 91 jours. Les saignements et spottings irréguliers ont diminué lors des cycles de 91 jours suivants.
En cas de survenue de saignements ou spottings irréguliers, la prise des comprimés doit se poursuivre normalement. Si les saignements persistent ou se prolongent, la femme devra consulter son médecin.
Augmentation des ALAT
Au cours des études cliniques chez des patientes traitées pour une infection par le virus de l’hépatite C (VHC) avec des médicaments contenant de l’ombitasvir/du paritaprévir/du ritonavir et du dasabuvir, avec ou sans ribavirine, une élévation des transaminases (ALAT) de plus de 5 fois la limite supérieure de la normale (LSN) a été observée de manière significativement plus fréquente chez les femmes utilisant des médicaments contenant de l’éthinylestradiol, tels que les contraceptifs hormonaux combinés (CHC).
Des élévations des taux d'ALAT ont également été observées avec des médicaments antiviraux contre le VHC contenant du glécaprévir/pibrentasvir et du sofosbuvir/velpatasvir/voxilaprévir (voir rubriques 4.3 et 4.5).
Les comprimés de Seasonique contiennent du lactose. Les patientes présentant des problèmes héréditaires rares tels qu'une intolérance au galactose, un déficit en lactase de Lapp ou une malabsorption du glucose ou du galactose ne doivent pas prendre ce médicament.
Les comprimés roses de Seasonique contiennent des colorants azoïques, rouge Allura AC (E129) qui peut provoquer des réactions allergiques.
4.5. Interactions avec d'autres médicaments et autres formes d'interactions
Les informations relatives à la prescription des médicaments associés doivent être consultées pour identifier toute interaction éventuelle.
Influence d'autres médicaments sur Seasonique
Les interactions entre les contraceptifs oraux et d'autres médicaments peuvent induire des métrorragies et/ou conduire à l'échec de la contraception. Les interactions suivantes ont été retrouvées dans la littérature.
Métabolisme hépatique
Des interactions peuvent se produire avec des médicaments inducteurs des enzymes hépatiques, ce qui peut conduire à une augmentation de la clairance des hormones sexuelles (par exemple, la phénytoïne, les barbituriques, la primidone, la carbamazépine, la rifampicine, le bosentan, le vémurafénib et les médicaments contre le VIH (par exemple ritonavir, névirapine) et peut-être aussi l’oxcarbazépine, le topiramate, le felbamate, la griséofulvine et les préparations à base de plantes contenant du millepertuis (Hypericum perforatum)). En général, l'induction enzymatique maximale est observée au bout d'environ 10 jours de traitement ; cependant, elle peut se prolonger au moins 4 semaines après l'arrêt du traitement.
Conduite à tenir
Les femmes prenant pendant une courte durée un médicament appartenant à l’une des classes mentionnées ci-dessus ou d’autres substances actives (médicaments inducteurs enzymatiques) autres que la rifampicine, doivent utiliser temporairement, en plus de leur CHC, pendant toute la durée de ce traitement et pendant les 7 jours qui suivent l'arrêt du traitement, une méthode contraceptive mécanique complémentaire.
En cas de traitement par la rifampicine, les mêmes précautions s’appliquent mais la contraception mécanique doit être poursuivie 28 jours après l'arrêt de l’antibiotique.
Chez les femmes prenant un traitement à long terme par des substances actives ayant une action inductrice sur les enzymes hépatiques, une autre méthode de contraception fiable, non hormonale est recommandée.
Influence de Seasonique sur les autres médicaments
L'utilisation concomitante de CHC et de lamotrigine a entraîné une réduction d'environ 50 % des taux de lamotrigine. Cette interaction pourrait être due au composant œstrogène puisqu'elle ne se produit pas avec les progestatifs administrés seuls. Chez une patiente déjà traitée par la lamotrigine, une surveillance clinique étroite et éventuellement un ajustement posologique au commencement et à l'arrêt du contraceptif pourront être nécessaires. En revanche, l'instauration d'une contraception orale pendant la titration de la lamotrigine doit être évitée.
Interactions pharmacodynamiques
L’utilisation concomitante de médicaments contenant de l’ombitasvir/du paritaprévir/du ritonavir et du dasabuvir, avec ou sans ribavirine, glecaprevir/pibrentasvir et du sofosbuvir/velpatasvir/voxilaprevir peut augmenter le risque d’élévation des ALAT (voir rubriques 4.3 et 4.4).
C’est pourquoi les utilisatrices de Seasonique doivent adopter un autre mode de contraception (par ex., un contraceptif contenant uniquement un progestatif ou une méthode non hormonale) avant de commencer ce traitement combiné. Seasonique peut être repris 2 semaines après l’arrêt de ce traitement combiné.
Examens biologiques
L'utilisation des CHC peut avoir un effet sur les résultats de certaines analyses biologiques dont les tests fonctionnels hépatiques, thyroïdiens, surrénaliens et rénaux, les taux plasmatiques des protéines (porteuses), ex. la corticosteroid-binding globulin (CBG) et des fractions lipidiques/lipoprotéiniques, les paramètres du métabolisme glucidique et les paramètres de la coagulation et de la fibrinolyse. Les modifications restent en général dans les limites de la normale.
Les femmes sous traitement substitutif par hormones thyroïdiennes auront peut-être besoin de doses plus fortes d'hormones thyroïdiennes car les concentrations sériques de la thyroxin binding globulin augmentent avec l'utilisation des CHC.
4.6. Fertilité, grossesse et allaitement
Grossesse
Seasonique n’est pas indiqué pendant la grossesse.
En cas de découverte d’une grossesse pendant la prise de Seasonique, le traitement doit être immédiatement arrêté. De grandes études épidémiologiques n'ont pas révélé d’augmentation du risque d'anomalies congénitales chez les enfants nés de femmes ayant utilisé un CHC avant la grossesse ni d'effet tératogène lorsqu’un CHC a été pris par erreur au cours de la grossesse.
Des études chez l'animal ont montré la présence d’effets indésirables au cours de la grossesse et de l'allaitement (voir rubrique 5.3). D’après ces données, un effet indésirable dû à l'activité hormonale des principes actifs ne peut être exclu. Cependant, sur la base de l'expérience de l'utilisation des CHC pendant la grossesse, un tel effet indésirable n’a pas été observé dans l’espèce humaine.
L’augmentation du risque de TEV en période post-partum doit être prise en compte lors de la reprise de Seasonique (voir rubriques 4.2 et 4.4).
Allaitement
Les CHC pouvant influer sur la quantité de lait maternel et sa composition, ceux-ci sont généralement déconseillés jusqu’à la fin du sevrage. L’utilisation de CHC peut s’accompagner d’une excrétion de faibles quantités de ces contraceptifs stéroïdiens et/ou de leurs métabolites dans le lait pouvant avoir un effet chez l'enfant.
Fertilité
Seasonique est indiqué dans la prévention de la grossesse.
4.7. Effets sur l'aptitude à conduire des véhicules et à utiliser des machines
Aucune étude sur les effets sur l'aptitude à conduire des véhicules et à utiliser des machines n'a été réalisée. Il n’a pas été observé d’effet sur l'aptitude à conduire ou à utiliser des machines chez les utilisatrices de CHC.
Résumé du profil de tolérance
L'essai clinique pivot qui a évalué la tolérance et l'efficacité de Seasonique était une étude sur 12 mois, multicentrique, randomisée, en ouvert, qui a inclus des femmes âgées de 18 à 40 ans, parmi lesquelles 1 006 ont pris au moins un comprimé de Seasonique.
Les effets indésirables apparus sous traitement les plus fréquemment rapportés ont été des saignements utérins irréguliers et/ou abondants, une prise de poids et de l’acné.
Les effets indésirables supplémentaires identifiés après la mise sur le marché de Seasonique sont rapportés comme étant de fréquence indéterminée.
Tableau récapitulatif des effets indésirables
Les fréquences sont définies comme suit : très fréquent (≥ 1/10) ; fréquent (≥ 1/100 à < 1/10) ; peu fréquent (≥ 1/1 000 à < 1/100) ; rare (≥ 1/10 000 à < 1/1 000) ; très rare (< 1/10 000) ; fréquence indéterminée (ne peut être estimée sur la base des données disponibles).
|
Classe de systèmes d'organes |
Très fréquent |
Fréquent |
Peu fréquent |
Rare |
Fréquence indéterminée |
|
Infections et infestations |
|
|
Infection fongique, vaginose fongique, vaginite bactérienne, infection vésicale, gastro-entérite, sinusite, pharyngite, candidose vaginale, infection vaginale, vaginite |
|
|
|
Tumeurs bénignes, malignes et non précisées (incl kystes et polypes) |
|
|
Maladie fibrokystique du sein, fibromes utérins, aggravation de fibromes utérins |
|
|
|
Affections hématologiques et du système lymphatique |
|
|
Anémie |
|
|
|
Affections du système immunitaire |
|
|
|
|
Réaction d'hypersensibilité |
|
Troubles du métabolisme et de la nutrition |
|
|
Augmentation de l'appétit, anorexie, diminution de l'appétit, diabète, insulinorésistant |
|
|
|
Affections psychiatriques |
|
Changements d'humeur, diminution de la libido, dépression |
Irritabilité, anxiété, aggravation d'une dépression, humeur dépressive, détresse émotionnelle, insomnie, orgasme anormal, paranoïa |
|
|
|
Affections du système nerveux |
|
Céphalées1, migraine2 |
Etourdissements, hyperesthésie, hypoesthésie |
|
Perte de conscience |
|
Affections de l'oreille et du labyrinthe |
|
|
Vertige |
|
|
|
Affections cardiaques |
|
|
Palpitations, tachycardie |
|
|
|
Affections vasculaires |
|
|
Bouffées vasomotrices, hypertension, aggravation d'une hypertension, hypotension orthostatique |
Thrombo-embolie artérielle (TEA), thrombo-embolie veineuse (TEV) |
|
|
Affections respiratoires, thoraciques et médiastinales |
|
|
Congestion sinusale |
Embolie pulmonaire, thrombose pulmonaire |
|
|
Affections gastro-intestinales |
|
Nausées3, douleurs abdominales4 |
Vomissements, dyspepsie, diarrhées, constipation |
|
|
|
Affections hépatobiliaires |
|
|
Cholécystite, cholélithiase |
|
Transaminases augmentées |
|
Affections de la peau et du tissu sous-cutané |
|
Acné5 |
Eruption, pousse anormale des cheveux/poils, texture anormale des cheveux/poils, hypotrichose, affection des ongles, sueurs nocturnes, réaction de photosensibilité, hyperpigmentation cutanée |
|
Alopécie |
|
Affections musculo-squelettiques et systémiques |
|
|
Gonflement périphérique, douleurs dorsales, spasmes musculaires, arthralgies, raideur articulaire, myalgies, douleurs cervicales |
|
Douleur dans les extrémités |
|
Affections des organes de reproduction et du sein |
Métrorragies |
Ménorragies, tension mammaire, dysménorrhée |
Sécheresse vulvovaginale, spasme utérin, douleurs mammaires, irrégularité menstruelle, engorgement mammaire, hypertrophie mammaire, dyspareunie, saignement post-coïtal, écoulement vaginal, écoulement mammaire, prurit génital, éruption génitale, douleurs pelviennes, ovaires polykystiques, affection vulvaire, gêne vulvovaginale |
|
|
|
Troubles généraux et anomalies au site d'administration |
|
|
Fatigue, œdème6, douleurs, douleurs thoraciques, sensation de chaleur, affection pseudo-grippale, malaise, fièvre |
|
|
|
Investigations |
|
Prise de poids |
Augmentation de la pression artérielle, augmentation des lipides, perte de poids |
|
|
1 y compris aggravation des céphalées et céphalées de tension
2 y compris aggravation d'une migraine et migraine avec aura
3 y compris aggravation de nausées
4 y compris distension abdominale, douleurs abdominales hautes et douleurs abdominales basses
5 y compris aggravation de l’acné
6 y compris œdème périphérique
Description de certains effets indésirables particuliers
Une augmentation du risque d'événement thrombotique et thrombo-embolique artériel et veineux, incluant l’infarctus du myocarde, l’AVC, les accidents ischémiques transitoires, la thrombose veineuse et l’embolie pulmonaire, a été observée chez les femmes utilisant des CHC ; ceci est abordé plus en détails en rubrique 4.4.
Les événements indésirables graves suivants ont été rapportés chez des utilisatrices de CHC et sont discutés à la rubrique 4.4 Mises en garde spéciales et précautions d'emploi :
· Maladies thromboemboliques veineuses ;
· Maladies thromboemboliques artérielles ;
· Hypertension artérielle ;
· Tumeurs hépatiques ;
· Dépression ;
· Survenue ou aggravation d'affections pour lesquelles l’association avec l'utilisation de COC n’a pas été établie : maladie de Crohn, rectocolite hémorragique, épilepsie, migraine, myome utérin, porphyrie, lupus érythémateux disséminé, herpès gestationnel, chorée de Sydenham, syndrome hémolytique et urémique, ictère cholestatique ;
· Chloasma ;
· Troubles aigus ou chroniques de la fonction hépatique pouvant nécessiter l'arrêt de l'utilisation des CHC jusqu'à ce que les marqueurs de la fonction hépatique se soient normalisés ;
· Les œstrogènes exogènes peuvent induire ou aggraver des symptômes d’angiœdème héréditaire et acquis
La fréquence de diagnostic de cancer du sein est très légèrement augmentée parmi les utilisatrices de CHC. Etant donné que le cancer du sein est rare chez les femmes de moins de 40 ans, l'augmentation du nombre de cas est faible par comparaison au risque global de cancer du sein. La relation de causalité avec l'utilisation des CHC n'est pas établie. Pour plus d'informations, voir rubriques 4.3 et 4.4.
Déclaration des effets indésirables suspectés
La déclaration des effets indésirables suspectés après autorisation du médicament est importante. Elle permet une surveillance continue du rapport bénéfice/risque du médicament. Les professionnels de santé déclarent tout effet indésirable suspecté via le système national de déclaration : Agence nationale de sécurité du médicament et des produits de santé (ANSM) et réseau des Centres Régionaux de Pharmacovigilance - Site internet : https://signalement.social-sante.gouv.fr/
Aucun cas de surdosage n’a été rapporté avec les contraceptifs oraux à ce jour. L'expérience générale acquise avec les contraceptifs oraux combinés montre que les symptômes susceptibles d’apparaitre dans le cas d’un surdosage de comprimés contenant des hormones sont les suivants : nausées, vomissements et chez les jeunes filles, saignements vaginaux légers. Il n’existe pas d'antidote et le traitement doit être symptomatique.
5. PROPRIETES PHARMACOLOGIQUES
5.1. Propriétés pharmacodynamiques
Classe pharmacothérapeutique : Hormones sexuelles et modulateurs de la fonction génitale, Contraceptifs hormonaux à usage systémique, Progestatifs et œstrogènes en association fixe, code ATC : G03AA07.
Indice de Pearl global (18-35 ans) : 0,76 (limite supérieure de l'intervalle de confiance à 95 % en bilatéral : 1,76).
Indice de Pearl pour l'échec de la méthode (18-35 ans) : 0,26 (limite supérieure de l'intervalle de confiance à 95 % en bilatéral : 0,80).
Indice de Pearl global (18-40 ans) : 0,67 (limite supérieure de l'intervalle de confiance à 95 % en bilatéral : 1,56).
L'action contraceptive des CHC dépend de l'interaction de différents facteurs dont les plus importants sont l'inhibition de l’ovulation et la modification de l'endomètre.
Seasonique est un contraceptif oral à cycle prolongé de 91 jours qui réduit les saignements menstruels de privation à 4 épisodes programmés par an. De plus, pendant les 7 derniers jours du cycle prolongé (85e à 91e jour), Seasonique inclut 10 microgrammes d'éthinylestradiol au lieu d'un placebo afin de renforcer la suppression folliculaire ovarienne et de diminuer le risque d'ovulation d'échappement. Cependant, on ne sait pas dans quelle mesure l'efficacité contraceptive est modifiée.
Population pédiatrique
L’Agence européenne des médicaments a accordé une dérogation à l’obligation de soumettre les résultats d’études réalisées avec Seasonique dans tous les sous-groupes de la population pédiatrique dans la contraception (voir rubrique 4.2 pour les informations concernant l’usage pédiatrique).
5.2. Propriétés pharmacocinétiques
Absorption
Les concentrations plasmatiques maximales d’éthinylestradiol et de lévonorgestrel sont atteintes dans les 2 heures suivant l'administration orale. Le lévonorgestrel est absorbé complètement après administration orale (biodisponibilité d'environ 100 %) et ne subit pas d’effet de premier passage. L'éthinylestradiol est absorbé dans le tube digestif mais, du fait de l’effet de premier passage dans la muqueuse intestinale et le foie, sa biodisponibilité est d'environ 43 %.
Etat d'équilibre
Lors de l'utilisation continue de Seasonique, les taux sériques de lévonorgestrel augmentent d'environ 3 fois et les taux d'éthinylestradiol d'environ 1,6 fois au 21e jour par rapport au 1er jour du traitement.
L'exposition quotidienne au lévonorgestrel et à l'éthinylestradiol au 21e jour, correspondant à la fin d'un cycle contraceptif classique de 3 semaines, et au 84e jour, à la fin d'un cycle prolongé, a été similaire, sans accumulation supplémentaire du médicament.
Distribution
Le lévonorgestrel se lie fortement aux protéines, principalement à la Sex Hormone Binding Globulin (SHBG) et à l'albumine sérique. L'éthinylestradiol se lie à l'albumine sérique de manière importante (environ 95 %) mais pas spécifique. L'éthinylestradiol ne se lie pas à la SHBG, mais induit une augmentation des concentrations sériques de SHBG, influençant la distribution relative du lévonorgestrel dans les différentes fractions protéiques (augmentation de la fraction liée à la SHBG et diminution de la fraction liée à l'albumine).
Biotransformation
Après absorption, le lévonorgestrel est conjugué en position 17β-OH pour former des sulfates et, dans une moindre mesure, des glucuroconjugués dans le plasma.
L’effet de premier passage de l'éthinylestradiol implique la formation d'éthinylestradiol-3-sulfate dans la paroi intestinale, suivie de la 2-hydroxylation d'une portion de l'éthinylestradiol inchangé restant par le cytochrome hépatique P-450 3A4. Les divers métabolites hydroxylés subissent ensuite une méthylation et/ou une conjugaison.
Élimination
Environ 45 % du lévonorgestrel et de ses métabolites sont excrétés dans les urines et environ 32 % sont excrétés dans les selles, principalement sous forme de glucuroconjugués. La demi-vie d'élimination terminale du lévonorgestrel après l'administration d'une dose unique de Seasonique a été d'environ 34 heures.
L'éthinylestradiol est excrété dans les urines et les selles sous forme de glucuroconjugués et de sulfoconjugués et il subit une recirculation entérohépatique. La demi-vie d'élimination terminale de l'éthinylestradiol après l'administration d'une dose unique de Seasonique a été d'environ 18 heures.
5.3. Données de sécurité préclinique
Chez l'animal, les effets du lévonorgestrel et de l'éthinylestradiol se sont limités à ceux associés à leur action pharmacologique reconnue. En particulier, les études de toxicité sur la reproduction ont révélé des effets embryotoxiques et fœtotoxiques chez l'animal.
Les données non cliniques pour l'éthinylestradiol et le lévonorgestrel issues des études de toxicologie en administration répétée, génotoxicité et carcinogénicité n'ont pas révélé de risque particulier pour l'Homme. Il convient toutefois de se rappeler que les hormones stéroïdes sexuelles peuvent favoriser la croissance de certains tissus hormonodépendants et de certaines tumeurs.
Evaluation du risque environnemental (ERE)
Les études d’évaluation environnementale ont démontré que les composés contenant de l'éthinylestradiol présentent un risque pour le milieu aquatique, en particulier pour les poissons (voir rubrique 6.6).
Comprimés pelliculés roses :
Noyau du comprimé :
Lactose, hypromellose, cellulose microcristalline, stéarate de magnésium.
Pelliculage :
Hypromellose, dioxyde de titane (E171), macrogol 400, rouge Allura (E129), polysorbate 80, bleu brillant (E133).
Comprimés pelliculés blancs :
Noyau du comprimé :
Lactose, polacriline potassique, cellulose microcristalline, stéarate de magnésium.
Pelliculage :
Dioxyde de titane (E171), polydextrose FCC, hypromellose, triacétine, macrogol 8000.
Sans objet.
3 ans.
6.4. Précautions particulières de conservation
A conserver dans l'emballage extérieur d'origine à l'abri de la lumière et de l'humidité.
6.5. Nature et contenu de l'emballage extérieur
Chaque boîte contient 91 comprimés pelliculés (84 comprimés roses et 7 comprimés blancs) sous 3 plaquettes :
2 x 28 comprimés pelliculés roses (Mois 1 et Mois 2) + 1 x (28 comprimés pelliculés roses + 7 comprimés pelliculés blancs) (Mois 3).
Trois plaquettes PVC/TE/PVDC//Aluminium sont chacune placées dans un sachet en aluminium qui est placé à l’intérieur d’un carton avec la notice.
Les comprimés blancs occupent la cinquième (dernière) rangée de la troisième plaquette thermoformée.
Seule la troisième plaquette thermoformée contient 5 rangées de comprimés et elle est de forme rectangulaire.
6.6. Précautions particulières d’élimination et de manipulation
Tout comme les autres produits contenant de l'éthinylestradiol, ce médicament est susceptible de présenter un risque pour le milieu aquatique (voir rubrique 5.3). Tout médicament non utilisé ou déchet doit être éliminé conformément à la réglementation en vigueur.
7. TITULAIRE DE L’AUTORISATION DE MISE SUR LE MARCHE
THERAMEX IRELAND LIMITED
3RD FLOOR, KILMORE HOUSE,
PARK LANE, SPENCER DOCK,
DUBLIN 1
D01 YE64
IRLANDE
8. NUMERO(S) D’AUTORISATION DE MISE SUR LE MARCHE
· 34009 300 105 1 8 : 2 x 28 comprimés pelliculés roses + 1 x (28 comprimés pelliculés roses + 7 comprimés pelliculés blancs) .Boîte de 3 plaquettes.
9. DATE DE PREMIERE AUTORISATION/DE RENOUVELLEMENT DE L’AUTORISATION
[à compléter ultérieurement par le titulaire]
10. DATE DE MISE A JOUR DU TEXTE
[à compléter ultérieurement par le titulaire]
Sans objet.
12. INSTRUCTIONS POUR LA PREPARATION DES RADIOPHARMACEUTIQUES
Sans objet.
Liste I.
ANSM - Mis à jour le : 28/10/2025
SEASONIQUE 150 microgrammes/30 microgrammes + 10 microgrammes, comprimé pelliculé
lévonorgestrel/éthinylestradiol
éthinylestradiol
Veuillez lire attentivement cette notice avant de prendre ce médicament car elle contient des informations importantes pour vous.
· Gardez cette notice. Vous pourriez avoir besoin de la relire.
· Si vous avez d’autres questions, interrogez votre médecin ou votre pharmacien.
· Ce médicament vous a été personnellement prescrit. Ne le donnez pas à d’autres personnes. Il pourrait leur être nocif, même si les signes de leur maladie sont identiques aux vôtres.
· Si vous ressentez un quelconque effet indésirable, parlez-en à votre médecin ou votre pharmacien. Ceci s’applique aussi à tout effet indésirable qui ne serait pas mentionné dans cette notice. Voir rubrique 4.
Points importants à connaître concernant les contraceptifs hormonaux combinés (CHC) :
· Ils comptent parmi les méthodes de contraception réversibles les plus fiables lorsqu’ils sont utilisés correctement.
· Ils augmentent légèrement le risque de formation d’un caillot sanguin dans les veines et les artères, en particulier pendant la première année de leur utilisation ou lorsque le contraceptif hormonal combiné est repris après une interruption de 4 semaines ou plus.
· Soyez vigilante et consultez votre médecin si vous pensez présenter les symptômes évocateurs d’un caillot sanguin (voir rubrique 2 « Caillots sanguins »).
2. Quelles sont les informations à connaître avant de prendre SEASONIQUE 150 microgrammes/30 microgrammes + 10 microgrammes, comprimé pelliculé ?
3. Comment prendre SEASONIQUE 150 microgrammes/30 microgrammes + 10 microgrammes, comprimé pelliculé ?
4. Quels sont les effets indésirables éventuels ?
5. Comment conserver SEASONIQUE 150 microgrammes/30 microgrammes + 10 microgrammes, comprimé pelliculé ?
6. Contenu de l’emballage et autres informations.
1. QU’EST-CE QUE SEASONIQUE 150 microgrammes/30 microgrammes + 10 microgrammes, comprimé pelliculé ET DANS QUELS CAS EST-IL UTILISE ?
Chacun des 84 comprimés roses contient une petite quantité de deux hormones sexuelles féminines différentes, à savoir le lévonorgestrel et l'éthinylestradiol.
Les 7 comprimés blancs contiennent une petite quantité de l'hormone sexuelle féminine éthinylestradiol.
2. QUELLES SONT LES INFORMATIONS A CONNAITRE AVANT DE PRENDRE SEASONIQUE 150 microgrammes/30 microgrammes + 10 microgrammes, comprimé pelliculé ?
Avant de commencer à utiliser Seasonique, vous devez lire les informations concernant les caillots sanguins en rubrique 2. Il est particulièrement important de lire la description des symptômes d’un caillot sanguin – voir rubrique 2, « Caillots sanguins »).
Avant de commencer à prendre Seasonique, un interrogatoire sur vos antécédents médicaux personnels et familiaux proches sera effectué par votre médecin. Votre pression artérielle sera mesurée et, si nécessaire, en fonction de votre situation personnelle, d'autres examens pourront être effectués.
Cette notice décrit plusieurs situations dans lesquelles vous devez arrêter de prendre Seasonique ou des circonstances dans lesquelles l'efficacité contraceptive de Seasonique peut être diminuée. Dans ces cas, vous ne devez pas avoir de rapports sexuels ou alors, vous devez utiliser d'autres méthodes contraceptives non hormonales comme le préservatif ou toute autre méthode mécanique. N'utilisez pas de méthodes naturelles de contraception (méthode du calendrier, mesure de la température). En effet, ces méthodes peuvent ne pas être fiables car Seasonique a un effet sur la température corporelle et sur la glaire cervicale.
Comme les autres contraceptifs hormonaux, SEASONIQUE 150 microgrammes/ 30 microgrammes + 10 microgrammes, comprimé pelliculé ne protège pas des infections à VIH (SIDA) ou des autres maladies sexuellement transmissibles.
Dans quels cas ne devez-vous jamais utiliser SEASONIQUE 150 microgrammes/ 30 microgrammes + 10 microgrammes, comprimé pelliculé ?
Vous ne devez pas utiliser Seasonique si vous êtes dans l’une des situations listées ci-dessous. Si l’une de ces maladies apparaît pour la première fois au cours de l’utilisation de Seasonique, vous devez en informer immédiatement votre médecin. Votre médecin discutera avec vous d’autres méthodes de contraception qui seraient plus adaptées.
Ne prenez jamais SEASONIQUE 150 microgrammes/30 microgrammes + 10 microgrammes, comprimé pelliculé :
· si vous avez (ou avez déjà eu) un caillot dans un vaisseau sanguin d'une jambe (thrombose veineuse profonde [TVP]), d’un poumon (embolie pulmonaire [EP]) ou d’autres organes ;
· si vous vous savez atteinte d’un trouble affectant la coagulation sanguine – par exemple, un déficit en protéine C, un déficit en protéine S, un déficit en antithrombine III, une mutation du facteur V de Leiden ou la présence d’anticorps anti-phospholipides ;
· si vous devez être opérée ou si vous êtes alitée pendant une durée prolongée (voir la rubrique « Caillots sanguins ») ;
· si vous avez déjà eu une crise cardiaque ou un accident vasculaire cérébral (AVC) ;
· si vous avez (ou avez déjà eu) une angine de poitrine (une maladie provoquant des douleurs intenses dans la poitrine et pouvant être le signe précurseur d’une crise cardiaque) ou un accident ischémique transitoire (AIT – symptômes temporaires d’AVC) ;
· si vous avez l’une des maladies suivantes pouvant augmenter le risque de caillot dans les artères :
o diabète sévère avec atteinte des vaisseaux sanguins ;
o pression artérielle très élevée ;
o taux très élevé de graisses dans le sang (cholestérol ou triglycérides) ;
o maladie appelée hyperhomocystéinémie ;
· si vous avez (ou avez déjà eu) un type de migraine appelé « migraine avec aura » ;
· si vous avez ou avez eu une inflammation du pancréas (pancréatite) ;
· si vous avez ou avez eu une maladie du foie et que votre foie ne fonctionne toujours pas normalement ;
· si vous avez ou vous avez eu une tumeur du foie ;
· si vous avez, avez eu ou si on suspecte un cancer du sein ou des organes génitaux ;
· si vous avez des saignements vaginaux inexpliqués ;
· si vous prenez du millepertuis ;
· si vous êtes allergique à l'éthinylestradiol ou au lévonorgestrel ou à l'un des autres composants contenus dans ce médicament (mentionnés dans la rubrique 6). Cela peut se manifester par des démangeaisons, une éruption ou un gonflement ;
· si vous souffrez d’une hépatite C et si vous prenez des médicaments contenant de l’ombitasvir/du paritaprévir/du ritonavir ,dasabuvir, glecaprevir/pibrentasvir et du sofosbuvir/velpatasvir/voxilaprevir (voir également rubrique « Autres médicaments et Seasonique »).
Avertissements et précautions
Dans quels cas devez-vous faire attention avec SEASONIQUE 150 microgrammes/ 30 microgrammes + 10 microgrammes, comprimé pelliculé ?
Dans quels cas devez-vous contacter votre médecin ?
Consultez un médecin de toute urgence
· si vous remarquez de possibles signes d’un caillot sanguin, qui pourraient indiquer que vous avez un caillot sanguin dans une jambe (thrombose veineuse profonde), que vous avez un caillot sanguin dans un poumon (embolie pulmonaire) ou que vous faites une crise cardiaque ou un AVC (voir la rubrique « Caillots sanguins » ci-dessous).
Pour la description des symptômes de ces effets indésirables graves, reportez-vous à la rubrique « Comment reconnaître un caillot sanguin ».
Si vous êtes dans l’une des situations suivantes, informez-en votre médecin.
Comme avec tout contraceptif hormonal combiné, dans certains cas, vous devez prendre des précautions particulières pendant la prise de Seasonique. Il peut être nécessaire d'être suivie régulièrement par votre médecin.
Si certaines des situations suivantes vous concernent, vous devez en informer votre médecin avant de prendre Seasonique. Si le problème apparaît ou s’aggrave pendant l’utilisation de Seasonique, vous devez également en informer votre médecin :
· si l’un de vos parents proches a ou a eu un cancer du sein ;
· si vous avez une maladie du foie ou de la vésicule biliaire ;
· si vous êtes diabétique ;
· si vous souffrez de dépression ;
· si vous avez une maladie de Crohn ou une rectocolite hémorragique (maladies inflammatoires chroniques des intestins) ;
· si vous avez un lupus érythémateux disséminé (LED) (une maladie qui affecte votre système de défenses naturelles) ;
· si vous avez un syndrome hémolytique et urémique (SHU) (un trouble de la coagulation sanguine qui entraîne une défaillance des reins) ;
· si vous avez une drépanocytose (maladie héréditaire des globules rouges du sang) ;
· si vous avez des taux élevés de graisses dans le sang (hypertriglycéridémie) ou des antécédents familiaux de ce trouble. L’hypertriglycéridémie a été associée à une augmentation du risque de pancréatite (inflammation du pancréas) ;
· si vous devez être opérée ou si vous êtes alitée pendant une durée prolongée (reportez-vous à la rubrique 2, « Caillots sanguins ») ;
· si vous venez d’accoucher, vous êtes exposée à un risque accru de caillots sanguins. Vous devez demander à votre médecin combien de temps après l’accouchement vous pouvez commencer à prendre Seasonique ;
· si vous avez une inflammation des veines situées sous la peau (thrombophlébite superficielle) ;
· si vous avez des varices ;
· si vous êtes épileptique (voir « Autres médicaments et Seasonique ») ;
· si vous avez l’une des maladies suivantes, apparue pour la première fois lors d'une grossesse ou de la prise antérieure d'un traitement hormonal : perte auditive, porphyrie (maladie du sang), herpès gestationnel (éruption de vésicules sur la peau pendant la grossesse), chorée de Sydenham (maladie des nerfs avec survenue de mouvements corporels brusques) ;
· si vous avez ou avez eu un chloasma (taches brun doré en particulier sur le visage, appelées « masque de grossesse »). Dans ce cas, évitez toute exposition directe au soleil ou aux rayons ultraviolets ;
· si vous allaitez (voir « Grossesse et allaitement »).
· en cas de survenue d’un des symptômes d’angiœdème suivants : gonflement du visage, de la langue et/ou de la gorge et/ou difficulté à avaler ou de l’urticaire associé à des difficultés pour respirer, consultez immédiatement votre médecin.
Les médicaments contenant des estrogènes peuvent induire ou aggraver les symptômes d’un angiœdème héréditaire et d’origine acquise.
Caillots sanguins
L’utilisation d’un contraceptif hormonal combiné tel que Seasonique augmente votre risque d’apparition d’un caillot sanguin en comparaison à une non-utilisation. Dans de rares cas, un caillot sanguin peut bloquer des vaisseaux sanguins et provoquer de graves problèmes.
Les caillots sanguins peuvent se former :
· dans les veines (on parle alors de « thrombose veineuse » ou de « thrombo-embolie veineuse » [TEV]) ;
· dans les artères (on parle alors de « thrombose artérielle » ou de « thrombo-embolie artérielle » [TEA]).
Le rétablissement, suite à des caillots sanguins, n’est pas toujours complet. Dans de rares cas, ils peuvent entraîner des séquelles graves et durables et, dans de très rares cas, ils peuvent être fatals.
Il est important de garder à l’esprit que le risque global de caillot sanguin dû à SEASONIQUE 150 microgrammes/30 microgrammes + 10 microgrammes, comprimé pelliculé est faible.
COMMENT RECONNAÎTRE UN CAILLOT SANGUIN
Consultez un médecin de toute urgence si vous remarquez l’un des signes ou symptômes suivants.
|
Présentez-vous l’un de ces signes ? |
Il peut éventuellement s’agir de : |
|
· gonflement d’une jambe ou le long d’une veine de la jambe ou du pied, en particulier s’il s’accompagne de : o douleur ou sensibilité dans la jambe, pouvant n’être ressentie qu’en position debout ou lors de la marche ; o chaleur dans la jambe affectée ; o changement de couleur de la peau de la jambe, devenant p. ex. pâle, rouge ou bleue. |
Thrombose veineuse profonde |
|
· apparition soudaine et inexpliquée d’un essoufflement ou d’une respiration rapide ; · toux soudaine sans cause apparente, avec parfois des crachats de sang ; · douleur aiguë dans la poitrine, qui peut s’accentuer en cas de respiration profonde ; · étourdissements ou sensations vertigineuses sévères ; · battements de cœur rapides ou irréguliers ; · douleur intense dans l’estomac. En cas de doute, consultez un médecin car certains de ces symptômes, comme la toux ou l’essoufflement, peuvent être pris à tort pour les signes d’une maladie moins sévère telle qu’une infection respiratoire (p. ex. un simple rhume). |
Embolie pulmonaire |
|
Symptômes apparaissant le plus souvent dans un seul œil : · perte immédiate de la vision ou ; · vision trouble sans douleur pouvant évoluer vers une perte de la vision. |
Thrombose veineuse rétinienne (caillot sanguin dans l’œil) |
|
· douleur, gêne, pression, lourdeur dans la poitrine ; · sensation d’oppression ou d’encombrement dans la poitrine, le bras ou sous le sternum ; · sensation d’encombrement, d’indigestion ou de suffocation ; · sensation de gêne dans le haut du corps irradiant vers le dos, la mâchoire, la gorge, le bras et l’estomac ; · transpiration, nausées, vomissements ou sensations vertigineuses ; · faiblesse, anxiété ou essoufflement extrêmes ; · battements de cœur rapides ou irréguliers. |
Crise cardiaque |
|
· apparition soudaine d’une faiblesse ou d’un engourdissement au niveau du visage, d’un bras ou d’une jambe, en particulier d’un côté du corps ; · apparition soudaine d’une confusion, de difficultés à parler ou à comprendre ; · apparition soudaine de difficultés à voir d’un œil ou des deux yeux ; · apparition soudaine de difficultés à marcher, de sensations vertigineuses, d’une perte d’équilibre ou de coordination ; · maux de tête soudains, sévères ou prolongés, sans cause connue ; · perte de conscience ou évanouissement avec ou sans crise convulsive. Parfois, les symptômes de l’AVC peuvent être de courte durée, avec un rétablissement presque immédiat et complet, mais vous devez tout de même consulter un médecin de toute urgence car vous pourriez être exposée au risque d’un nouvel AVC. |
Accident vasculaire cérébral (AVC) |
|
· gonflement et coloration légèrement bleutée d’une extrémité ; · douleur intense dans l’estomac (« abdomen aigu ») |
Caillots sanguins bloquant d’autres vaisseaux sanguins |
CAILLOTS SANGUINS DANS UNE VEINE
Que peut-il se passer si un caillot sanguin se forme dans une veine ?
· Un lien a été établi entre l’utilisation de contraceptifs hormonaux combinés et l’augmentation du risque de caillots sanguins dans les veines (thrombose veineuse). Cependant, ces effets indésirables sont rares. Le plus souvent, ils surviennent pendant la première année d’utilisation d’un contraceptif hormonal combiné.
· Lorsqu’un caillot sanguin se forme dans une veine d’une jambe ou d’un pied, il peut provoquer une thrombose veineuse profonde (TVP).
· Si le caillot sanguin migre de la jambe vers le poumon, il peut provoquer une embolie pulmonaire.
· Dans de très rares cas, un caillot peut se former dans une veine d’un autre organe, comme l’œil (thrombose veineuse rétinienne).
À quel moment le risque d’apparition d’un caillot sanguin dans une veine est-il le plus élevé ?
Le risque d’apparition d’un caillot sanguin dans une veine est maximal pendant la première année d’utilisation d’un contraceptif hormonal combiné pris pour la première fois. Le risque peut également être augmenté lorsque vous recommencez à prendre un contraceptif hormonal combiné (le même produit ou un produit différent) après une interruption de 4 semaines ou plus.
Après la première année, le risque diminue mais reste toujours légèrement plus élevé que si vous n’utilisiez pas de contraceptif hormonal combiné.
Lorsque vous arrêtez de prendre Seasonique, le risque d’apparition de caillot sanguin revient à la normale en quelques semaines.
Quel est le risque d’apparition d’un caillot sanguin ?
Le risque dépend de votre risque de base de TEV et du type de contraceptif hormonal combiné que vous prenez.
Le risque global de caillot sanguin dans une jambe ou un poumon (TVP ou EP) associé à Seasonique est faible.
· Sur 10 000 femmes qui n’utilisent aucun contraceptif hormonal combiné et qui ne sont pas enceintes, environ 2 développeront un caillot sanguin sur une période d’un an.
· Sur 10 000 femmes qui utilisent un contraceptif hormonal combiné contenant du lévonorgestrel, de la noréthistérone ou du norgestimate, environ 5 à 7 développeront un caillot sanguin sur une période d’un an.
· Le risque d’apparition d’un caillot sanguin variera selon vos antécédents médicaux personnels (voir « Facteurs augmentant le risque de caillot sanguin » ci-dessous).
|
|
Risque d’apparition d’un caillot sanguin sur une période d’un an |
|
Femmes qui n’utilisent pas de pilule hormonale combinée et qui ne sont pas enceintes |
Environ 2 femmes sur 10 000 |
|
Femmes qui utilisent une pilule contraceptive hormonale combinée contenant du lévonorgestrel, de la noréthistérone ou du norgestimate |
Environ 5 à 7 femmes sur 10 000 |
|
Femmes qui utilisent Seasonique |
Environ 5 à 15 femmes sur 10 000 |
Facteurs augmentant le risque de caillot sanguin dans une veine
Le risque de caillot sanguin associé à Seasonique est faible mais certaines situations peuvent augmenter ce risque. Le risque sera plus élevé :
· si vous avez un surpoids important (indice de masse corporelle [IMC] supérieur à 30 kg/m²) ;
· si l’un des membres de votre famille proche a eu un caillot sanguin dans une jambe, un poumon ou un autre organe à un âge relativement jeune (p. ex. avant l’âge de 50 ans). Si tel est le cas, vous pourriez être atteinte d’un trouble héréditaire de la coagulation sanguine ;
· si vous devez être opérée ou si vous êtes alitée pendant une période prolongée en raison d’une blessure ou d’une maladie, ou si votre jambe est immobilisée (p. ex. plâtre). Il pourra être nécessaire d’interrompre l’utilisation de Seasonique plusieurs semaines avant l’opération chirurgicale et/ou tant que votre mobilité est réduite. Si vous devez arrêter d’utiliser Seasonique, demandez à votre médecin à quel moment vous pourrez recommencer à l’utiliser ;
· avec l’âge (en particulier au-delà de 35 ans) ;
· si vous avez accouché dans les semaines précédentes.
Plus vous cumulez ces situations, plus le risque d’apparition d’un caillot sanguin augmente.
Les voyages en avion (de plus de 4 heures) peuvent augmenter temporairement le risque de caillot sanguin, en particulier si vous présentez déjà certains des autres facteurs listés.
Il est important de prévenir votre médecin si vous êtes concernée par l’une de ces situations, même si vous n’en êtes pas certaine. Votre médecin pourra décider qu’il est nécessaire d’arrêter le traitement par Seasonique.
Si l’une des situations ci-dessus évolue pendant la période où vous utilisez Seasonique, par exemple si un membre de votre famille proche développe une thrombose sans raison connue ou si vous prenez beaucoup de poids, parlez-en à votre médecin.
CAILLOTS SANGUINS DANS UNE ARTÈRE
Que peut-il se passer si un caillot sanguin se forme dans une artère ?
Comme un caillot sanguin dans une veine, un caillot dans une artère peut provoquer de graves problèmes. Par exemple, il peut provoquer une crise cardiaque ou un accident vasculaire cérébral (AVC).
Facteurs augmentant le risque de caillot sanguin dans une artère
Il est important de noter que le risque de crise cardiaque ou d’AVC lié à l’utilisation de Seasonique est très faible mais peut augmenter :
· avec l’âge (au-delà de 35 ans) ;
· si vous fumez. Lors de l’utilisation d’un contraceptif hormonal combiné tel que Seasonique, il est conseillé d’arrêter de fumer. Si vous ne parvenez pas à arrêter de fumer et si vous êtes âgée de plus de 35 ans, votre médecin pourra vous conseiller d’utiliser une méthode de contraception différente ;
· si vous êtes en surpoids ;
· si vous avez une pression artérielle élevée ;
· si un membre de votre famille proche a déjà eu une crise cardiaque ou un AVC à un âge relativement jeune (avant l’âge de 50 ans). Si tel est le cas, le risque que vous ayez une crise cardiaque ou un AVC pourrait également être plus élevé ;
· si vous, ou un membre de votre famille proche, avez un taux de graisses élevé dans le sang (cholestérol ou triglycérides) ;
· si vous avez des migraines, en particulier des migraines avec aura ;
· si vous avez des problèmes cardiaques (maladie de la valve cardiaque, trouble du rythme appelé fibrillation auriculaire) ;
· si vous êtes diabétique.
Si vous cumulez plusieurs de ces situations ou si l’une d’entre elles est particulièrement sévère, le risque d’apparition d’un caillot sanguin peut être encore plus élevé.
Si l’une des situations ci-dessus évolue pendant la période où vous utilisez Seasonique, par exemple si vous commencez à fumer, si un membre de votre famille proche développe une thrombose sans raison connue ou si vous prenez beaucoup de poids, parlez-en à votre médecin.
SEASONIQUE 150 microgrammes/30 microgrammes + 10 microgrammes, comprimé pelliculé et cancer
Des cancers du sein ont été observés un peu plus fréquemment chez les femmes qui prennent un contraceptif oral combiné. Il n'est cependant pas établi si cette différence est due au contraceptif oral combiné. En effet, il est possible que les femmes prenant un contraceptif oral combiné soient examinées par leur médecin plus souvent et plus attentivement. Cette différence de fréquence diminue progressivement après l'arrêt du contraceptif hormonal combiné.
Il est important d'examiner régulièrement vos seins. En cas de survenue d'une grosseur suspecte, contactez votre médecin.
Dans de rares cas, des tumeurs bénignes du foie, et encore plus rarement, des tumeurs malignes du foie, ont été signalées chez des utilisatrices de pilules contraceptives. Consultez votre médecin si vous présentez subitement des maux de ventre intenses.
Saignements entre les règles
Lorsque vous prenez Seasonique, qui a un cycle d'administration prolongé de 91 jours, vous devez vous attendre à avoir 4 périodes de règles programmées par an (saignements pendant que vous prenez les 7 comprimés blancs). Chaque période devrait durer environ 3 jours.
Des saignements entre les règles peuvent survenir dans les premiers mois d'un traitement par Seasonique. Il n'est pas rare de présenter des saignements entre les règles, en particulier pendant la prise de la première boîte de Seasonique. Ces saignements ou spottings (gouttes ou taches de sang) ont tendance à diminuer avec le temps. N'arrêtez pas de prendre Seasonique à cause de ces saignements ou spottings. Si les spottings persistent pendant plus de 7 jours consécutifs ou si les saignements sont abondants, contactez votre médecin.
Que faire si vos règles ne surviennent pas après le 84e jour
Vous devez envisager la possibilité que vous soyez enceinte si vous n'avez pas vos règles (pas de saignements les jours où vous prenez les comprimés blancs). Etant donné que les règles sont moins fréquentes pendant la prise de Seasonique, prévenez votre médecin que vous n'avez pas eu vos règles et que vous prenez Seasonique. Prévenez également votre médecin si vous avez des symptômes de grossesse, comme des nausées matinales ou une tension inhabituelle des seins. Il est important que votre professionnel de santé vous examine afin de déterminer si vous êtes enceinte.
Ne commencez pas la plaquette suivante de Seasonique tant que vous n'êtes pas certaine de ne pas être enceinte.
Troubles psychiatriques
Certaines femmes qui utilisent des contraceptifs hormonaux dont Seasonique ont fait état d’une dépression ou d’un état dépressif. La dépression peut être grave et peut parfois donner lieu à des idées suicidaires. Si vous présentez des changements d’humeur et des symptômes dépressifs, sollicitez les conseils de votre médecin dès que possible.
Autres médicaments et SEASONIQUE 150 microgrammes/30 microgrammes + 10 microgrammes, comprimé pelliculé
Indiquez toujours au médecin qui vous prescrit Seasonique les autres médicaments ou préparations à base de plantes que vous prenez déjà. Indiquez également à tout autre médecin ou dentiste qui vous prescrira un autre médicament (ou à votre pharmacien) que vous prenez Seasonique. Ils vous indiqueront si vous devez prendre des mesures contraceptives complémentaires (par exemple, préservatifs) et si nécessaire, pendant quelle durée.
Certains médicaments peuvent diminuer la capacité de Seasonique à prévenir une grossesse ou peuvent entraîner des saignements inattendus. Il s'agit notamment de médicaments utilisés dans le traitement de :
· l'épilepsie (ex : primidone, phénytoïne, barbituriques, carbamazépine, oxcarbazépine, topiramate, felbamate) ;
· la tuberculose (ex : rifampicine) ;
· les infections par le VIH (ex : ritonavir, névirapine) ou autres infections (antibiotique appelé griséofulvine) ;
· l'hypertension artérielle pulmonaire (bosentan) ;
· le cancer (vémurafénib).
Le millepertuis, un remède à base de plantes, peut également empêcher Seasonique d'agir efficacement.
Seasonique peut agir sur l'efficacité d'autres médicaments, par exemple :
· un antiépileptique : la lamotrigine (cela peut augmenter la fréquence des crises d'épilepsie).
N’utilisez pas Seasonique si vous souffrez d’une hépatite C et si vous prenez des médicaments contenant de l’ombitasvir/du paritaprévir/du ritonavir, dasabuvir, glecaprevir/pibrentasvir et du sofosbuvir/velpatasvir/voxilaprevir car ces produits peuvent entraîner une augmentation des valeurs des tests sanguins de la fonction hépatique (augmentation des enzymes hépatiques ALAT).
Votre médecin vous prescrira un autre type de contraceptif avant de commencer le traitement avec ces médicaments.
Seasonique peut être repris environ 2 semaines après l’arrêt de ce traitement. Voir rubrique « Ne prenez jamais Seasonique ».
Informez votre médecin ou pharmacien si vous prenez, avez récemment pris ou pourriez prendre tout autre médicament.
Analyses de laboratoire
Si vous devez effectuer un examen sanguin, informez votre médecin ou l'équipe du laboratoire que vous prenez Seasonique car les contraceptifs oraux peuvent modifier les résultats de certains examens.
SEASONIQUE 150 microgrammes/30 microgrammes + 10 microgrammes, comprimé pelliculé avec des aliments et boissons
Sans objet.
Si vous êtes enceinte, vous ne devez pas prendre Seasonique. Si vous tombez enceinte pendant la prise de Seasonique, vous devez arrêter immédiatement le traitement et consulter votre médecin.
En cas d'allaitement, l'utilisation de Seasonique est en général déconseillée car elle peut diminuer la quantité de lait maternel et modifier sa composition. Consultez votre médecin si vous désirez prendre une pilule contraceptive pendant l'allaitement.
Conduite de véhicules et utilisation de machines
Aucune information ne suggère que l'utilisation de Seasonique affecte la conduite de véhicules ou l’utilisation de machines.
SEASONIQUE 150 microgrammes/30 microgrammes + 10 microgrammes, comprimé pelliculé contient du lactose
Si votre médecin vous a informée d’une intolérance à certains sucres, contactez-le avant de prendre ce médicament.
SEASONIQUE 150 microgrammes/30 microgrammes + 10 microgrammes, comprimé pelliculé contient du rouge Allura (E129)
Seasonique contient un contient un colorant rouge appelé rouge Allura (E129) qui peut provoquer des réactions allergiques.
3. COMMENT PRENDRE SEASONIQUE 150 microgrammes/30 microgrammes + 10 microgrammes, comprimé pelliculé ?
Comment prendre les comprimés
Prenez un comprimé de Seasonique chaque jour, si nécessaire avec un peu d'eau. Vous devez les prendre chaque jour à peu près à la même heure.
Quels comprimés prendre
Ne confondez pas les comprimés : prenez un comprimé rose pendant les 84 premiers jours, puis un comprimé blanc pendant les 7 derniers jours.
Lorsque la boîte est finie, commencez immédiatement une nouvelle boîte (84 comprimés roses puis 7 comprimés blancs), sans interruption.
Comme la composition des comprimés est différente, il est nécessaire de commencer avec le comprimé numéro 1 sur la plaquette Mois 1. Prenez les comprimés chaque jour. Une fois que vous avez pris tous les comprimés du Mois 1, passez à la plaquette Mois 2. Commencez avec le comprimé 29. Une fois que vous avez pris tous les comprimés de la plaquette Mois 2, passez à la plaquette Mois 3 et commencez avec le comprimé 57. Pour l'ordre de prise des comprimés, suivez le sens des flèches sur les plaquettes.
Préparation de la boîte
Pour vous aider à vous repérer, il y a 7 étiquettes hebdomadaires marquées des 7 jours de la semaine. Choisissez l'étiquette de la semaine qui commence par le jour où vous commencez à prendre les comprimés. Par exemple, si vous commencez un mercredi, utilisez l'étiquette de la semaine qui commence par ME.
Collez l'étiquette de la semaine le long du bord supérieur de la plaquette de Seasonique sur l'emplacement marqué « Coller ici l'étiquette hebdomadaire », de manière à ce que le premier jour soit au-dessus du comprimé marqué « 1 ».
Il y a maintenant un jour indiqué au-dessus de chaque comprimé et vous pouvez voir si vous avez pris telle ou telle pilule. Les flèches montrent l'ordre dans lequel vous devez prendre les pilules.
Vos règles, appelées hémorragies de privation, commenceront en général lorsque vous prenez les comprimés blancs.
Après avoir pris le dernier comprimé blanc, commencez une nouvelle boite de Seasonique, même si vos règles ne sont pas terminées. Vous commencerez toujours votre nouvelle boîte le même jour de la semaine et vos règles surviendront à peu près le même jour à chaque fois.
Si vous utilisez Seasonique de cette façon, vous ne tomberez pas enceinte pendant la totalité des 91 jours.
Quand devez-vous commencer la première plaquette ?
· Si vous n’avez pas pris de contraception hormonale le mois précédent :
Commencez Seasonique le 1er jour du cycle (c'est-à-dire le 1er jour de vos règles).
Vous pouvez également commencer entre le 2e et le 5e jour du cycle, mais vous devez alors prendre des mesures contraceptives complémentaires (par exemple utiliser un préservatif) pendant les 7 premiers jours de prise des comprimés.
· Si vous preniez auparavant un autre contraceptif hormonal combiné ou un anneau vaginal ou un patch :
Prenez de préférence le 1er comprimé de Seasonique le jour suivant la prise du dernier comprimé actif (le dernier comprimé contenant les substances actives) du contraceptif précédent. Si vous aviez auparavant un anneau vaginal ou un patch, suivez les conseils de votre médecin.
· Si vous utilisiez une méthode progestative seule (une pilule progestative, une méthode injectable, un implant ou un dispositif intra-utérin délivrant un progestatif) :
Si vous preniez auparavant une pilule progestative, vous pouvez commencer Seasonique à tout moment du cycle (si vous utilisiez un implant ou un dispositif intra-utérin, commencez Seasonique le jour du retrait ; si vous utilisiez un contraceptif injectable, commencez Seasonique le jour prévu pour la nouvelle injection).
Dans tous les cas, vous devez utiliser des mesures contraceptives complémentaires (par exemple un préservatif) pendant les 7 premiers jours de prise des comprimés.
· Après une fausse couche ou une interruption de grossesse :
Suivez les conseils de votre médecin.
· Après un accouchement :
Après un accouchement, vous pouvez commencer Seasonique 21 à 28 jours après l'accouchement. Si vous commencez après le 28e jour, vous devez utiliser une mesure contraceptive complémentaire (par exemple un préservatif) pendant les 7 premiers jours d'utilisation de Seasonique. Si, après l'accouchement, vous avez eu un rapport sexuel avant de (re)prendre Seasonique, vous devez vous assurer que vous n'êtes pas enceinte ou attendre vos prochaines règles avant de commencer.
· Si vous allaitez et que vous souhaitez (re)prendre Seasonique après un accouchement :
Lire la rubrique « Grossesse et allaitement ».
Suivez les indications de votre médecin si vous ne savez pas quand démarrer votre contraception.
Si vous avez pris plus de SEASONIQUE 150 microgrammes/30 microgrammes + 10 microgrammes, comprimé pelliculé que vous n’auriez dû
Aucune conséquence grave n'a été rapportée suite à une prise excessive de comprimés de Seasonique.
Si vous prenez plusieurs comprimés d’un coup, vous pouvez ressentir des symptômes tels que nausées et vomissements. Les jeunes filles peuvent présenter de petits saignements vaginaux.
Si vous avez pris plus de Seasonique que vous n'auriez dû ou si vous découvrez qu'un enfant a pris des comprimés de Seasonique, consultez votre médecin ou votre pharmacien.
Si vous oubliez de prendre SEASONIQUE 150 microgrammes/30 microgrammes + 10 microgrammes, comprimé pelliculé
Comprimés roses : si vous oubliez de prendre un comprimé rose, selon le jour du cycle auquel le comprimé a été oublié, vous devrez peut-être prendre des précautions complémentaires, par exemple utiliser une méthode de type barrière (préservatif).
Prenez les comprimés roses selon les principes suivants :
· Si vous prenez un comprimé avec moins de 12 heures de retard, l'effet contraceptif n'est pas diminué. Prenez immédiatement le comprimé oublié, et poursuivez le traitement normalement en prenant le comprimé suivant à l'heure habituelle.
· Si vous prenez un comprimé avec plus de 12 heures de retard, il existe un risque de grossesse. Plus le nombre de comprimés oubliés est élevé, plus le risque de grossesse est important. Le risque de grossesse est particulièrement important si vous oubliez de prendre des comprimés roses au début de la boîte. Dans ce cas, vous devez respecter les recommandations énoncées ci-dessous.
Oubli d'un/de comprimé(s) rose(s) entre le 1er et le 7e jour
Prenez le dernier comprimé oublié dès que vous constatez l'oubli, même si cela signifie prendre deux comprimés en même temps. Prenez les comprimés suivants à l'heure habituelle et utilisez des précautions complémentaires les 7 jours suivants, par exemple, une méthode contraceptive barrière (préservatif). Si vous avez eu des rapports sexuels au cours des 7 jours précédant l'oubli, il existe un risque de grossesse. Dans ce cas, consultez votre médecin immédiatement.
Oubli d'un/de comprimé(s) rose(s) entre le 8e et le 77e jour
Prenez le comprimé oublié dès que vous constatez l'oubli, même si cela signifie prendre deux comprimés en même temps. Prenez les comprimés suivants à l'heure habituelle. Si vous avez pris vos comprimés correctement au cours des 7 jours précédant le premier comprimé oublié, l'efficacité contraceptive n'est pas diminuée et aucune mesure contraceptive complémentaire n'est nécessaire.
Toutefois, si tel n’est pas le cas et que vous avez oublié plus d’un comprimé, vous devez prendre des mesures contraceptives complémentaires pendant les 7 jours suivants, p. ex. une méthode contraceptive barrière (préservatif).
Oubli d'un/de comprimé(s) rose(s) entre le 78e et le 84e jour
Le risque de grossesse est particulièrement élevé si vous avez oublié de prendre les comprimés roses alors que la phase de prise des comprimés blancs était proche. Ce risque accru peut être évité en ajustant votre schéma de prise des comprimés.
Prenez le dernier comprimé dès que vous constatez l’oubli, même si cela signifie prendre deux comprimés en même temps. Prenez les comprimés suivants à l’heure habituelle. Si vous avez pris vos comprimés correctement au cours des 7 jours précédant le premier comprimé oublié, l’efficacité contraceptive n’est pas diminuée et aucune mesure contraceptive complémentaire n’est nécessaire. Toutefois, si tel n’est pas le cas, arrêtez de prendre les comprimés roses et prenez les comprimés blancs moins le nombre de comprimés que vous avez oubliés. Utilisez des mesures contraceptives complémentaires pendant les 7 jours suivants, p. ex. une méthode contraceptive barrière (préservatif).
Vous pouvez ensuite débuter un nouveau cycle de Seasonique.
Consultez votre médecin pour plus de recommandations.
Schéma : oubli de comprimés roses constaté avec plus de 12 heures de retard

Si vous avez oublié de prendre l'un des comprimés roses et que vous ne présentez pas de saignements au cours de la 13e semaine, il existe un risque de grossesse. Consultez votre médecin avant de commencer la nouvelle plaquette.
Que faire en cas de vomissements ou de diarrhées sévères ?
Si vous vomissez dans les 3 ou 4 heures qui suivent la prise d'un comprimé ou si vous avez une diarrhée sévère, l'absorption des substances actives contenues dans le comprimé peut ne pas être complète. La situation est identique à un oubli de comprimé. Après des vomissements ou une diarrhée, prenez un autre comprimé dès que possible. Les mêmes consignes que celles données dans la rubrique « Si vous oubliez de prendre Seasonique » s’appliquent.
Si vous ne voulez pas modifier l’ordre de prise des comprimés, vous pouvez prendre le comprimé rose supplémentaire dans la dernière rangée de la plaquette.
Si vous arrêtez de prendre SEASONIQUE 150 microgrammes/30 microgrammes + 10 microgrammes, comprimé pelliculé
Vous pouvez arrêter Seasonique quand vous le souhaitez. Si vous ne souhaitez pas être enceinte, demandez à votre médecin de vous conseiller d’autres méthodes contraceptives fiables.
Si vous avez d’autres questions sur l’utilisation de ce médicament, demandez plus d’informations à votre médecin, à votre sage-femme ou à votre pharmacien.
4. QUELS SONT LES EFFETS INDESIRABLES EVENTUELS ?
Comme tous les médicaments, ce médicament peut provoquer des effets indésirables, mais ils ne surviennent pas systématiquement chez tout le monde. Si vous ressentez un quelconque effet indésirable, en particulier si l’effet est sévère et persistant, ou si vous remarquez une modification de votre état de santé qui pourrait selon vous être due à Seasonique, informez-en votre médecin.
Il existe une augmentation du risque de caillots sanguins dans les veines (thrombo-embolie veineuse [TEV]) ou dans les artères (thrombo-embolie artérielle [TEA]) chez toutes les femmes qui prennent des contraceptifs hormonaux combinés. Pour plus de précisions sur les différents risques associés à la prise de contraceptifs hormonaux combinés, reportez-vous à la rubrique 2, « Quelles sont les informations à connaître avant de prendre Seasonique 150 microgrammes/30 microgrammes + 10 microgrammes, comprimé pelliculé ».
Effets indésirables graves – Consultez immédiatement votre médecin :
· Réaction d’hypersensibilité (réaction allergique) – les signes incluent gonflement du visage, des lèvres, de la bouche, de la langue ou de la gorge ; éruption de plaques rouges et gonflées (urticaire) et démangeaisons.
· Caillot sanguin dans un vaisseau sanguin de la jambe (thrombose), d’un poumon (embolie pulmonaire) ou d’autres organes. Pour connaître les signes liés à un caillot sanguin (voir rubrique 2, « Caillots sanguins »).
· Consultez immédiatement votre médecin en cas de survenue d’un des symptômes d’angiœdème suivants : gonflement du visage, de la langue et/ou de la gorge et/ou difficulté à avaler ou de l’urticaire associé à des difficultés pour respirer (voir chapitre avertissement et précaution).
Si vous pensez être dans l’une de ces situations, consultez immédiatement votre médecin. Il est possible que vous deviez arrêter de prendre Seasonique.
Très fréquent : peut affecter plus d'1 personne sur 10
· saignements entre les règles.
Fréquent : peut affecter jusqu'à 1 personne sur 10
· modification de l'humeur, modification du désir sexuel, dépression ;
· maux de tête, migraines ;
· nausée, douleur abdominale ;
· acné ;
· règles abondantes et prolongées, tension des seins, règles douloureuses ;
· prise de poids.
Peu fréquent : peut affecter jusqu'à 1 personne sur 100
· infection fongique, infection vaginale fongique ou bactérienne (y compris candidose), infection de la vessie, gastro-entérite, infection de la gorge et des sinus ;
· maladie fibrokystique des seins, survenue ou aggravation de fibromes utérins (tumeur bénigne) ;
· anémie ;
· augmentation de l'appétit, anorexie, diminution de l'appétit, diabète, résistance à l'insuline ;
· irritabilité, anxiété, humeur dépressive, aggravation d’une dépression, détresse émotionnelle, troubles du sommeil, anomalies de l'orgasme, paranoïa ;
· étourdissements, impression d'avoir la peau plus sensible, sensibilité absente ou réduite à la stimulation cutanée ;
· vertige ;
· battements cardiaques irréguliers, battements cardiaques rapides ;
· bouffées de chaleur, hypertension artérielle, aggravation de l’hypertension artérielle, diminution de la pression artérielle au passage en position debout ;
· congestion des sinus ;
· vomissements, indigestion, diarrhée, constipation ;
· inflammation de la vésicule biliaire, calculs biliaires ;
· éruption, changements de la croissance et de la texture des cheveux/poils, perte ou amincissement inhabituel des cheveux, affection des ongles, sueurs nocturnes, sensibilité de la peau à la lumière, taches foncées sur la peau ;
· gonflement périphérique, douleurs dorsales, spasmes musculaires, douleurs dans les articulations, raideur articulaire, douleurs musculaires, douleurs cervicales ;
· sécheresse vaginale ou vulvaire, spasme de l'utérus, douleurs dans les seins, règles irrégulières, gonflement des seins, augmentation de volume des seins, rapports sexuels douloureux, saignements après un rapport sexuel, écoulement vaginal, écoulement des seins, démangeaisons génitales, éruption génitale, douleurs pelviennes, ovaires polykystiques, affection vulvaire, gêne vaginale ou vulvaire;
· sensation de fatigue, gonflement de certaines parties du corps, douleur, douleurs dans la poitrine, sensation de chaleur, symptômes pseudo-grippaux, malaise, fièvre ;
· augmentation de la pression artérielle, augmentation des graisses dans le sang ;
· diminution du poids.
Rare peut affecter jusqu’à 1 personne sur 1 000
· caillots sanguins dans une veine ou une artère, par exemple :
o dans une jambe ou un pied (thrombose veineuse profonde, TVP) ;
o dans un poumon (embolie pulmonaire, EP) ;
o crise cardiaque ;
o accident vasculaire cérébral (AVC) ;
o mini-AVC ou symptômes temporaires de type AVC, connus sous le nom d’accident ischémique transitoire (AIT) ;
o caillots sanguins dans le foie, l’estomac/l’intestin, les reins ou un œil.
Le risque d’apparition d’un caillot sanguin peut être plus élevé si vous présentez certains autres facteurs qui augmentent ce risque (voir rubrique 2 pour plus d’informations sur les facteurs augmentant le risque de caillots sanguins et les symptômes d’un caillot sanguin).
Fréquence indéterminée : ne peut être estimée sur la base des données disponibles
· perte de conscience ;
· calvitie ;
· douleurs dans les bras ou les jambes.
· Enzymes hépatiques augmentées (élévation des transaminases).
Déclaration des effets secondaires
Si vous ressentez un quelconque effet indésirable, parlez-en à votre médecin ou votre pharmacien. Ceci s’applique aussi à tout effet indésirable qui ne serait pas mentionné dans cette notice. Vous pouvez également déclarer les effets indésirables directement via le système national de déclaration : Agence nationale de sécurité du médicament et des produits de santé (ANSM) et réseau des Centres Régionaux de Pharmacovigilance - Site internet : https://signalement.social-sante.gouv.fr/.
En signalant les effets indésirables, vous contribuez à fournir davantage d’informations sur la sécurité du médicament.
5. COMMENT CONSERVER SEASONIQUE 150 microgrammes/30 microgrammes + 10 microgrammes, comprimé pelliculé ?
Tenir ce médicament hors de la vue et de la portée des enfants.
A conserver dans l'emballage extérieur d'origine à l'abri de la lumière et de l'humidité.
N’utilisez pas ce médicament après la date de péremption indiquée sur l'emballage extérieur, le sachet en aluminium, l’étui pour plaquette et la plaquette après EXP. La date de péremption fait référence au dernier jour de ce mois.
Ne jetez aucun médicament au tout-à-l’égout ou avec les ordures ménagères. Demandez à votre pharmacien d’éliminer les médicaments que vous n’utilisez plus. Ces mesures contribueront à protéger l’environnement.
6. CONTENU DE L’EMBALLAGE ET AUTRES INFORMATIONS
Ce que contient SEASONIQUE 150 microgrammes/30 microgrammes + 10 microgrammes, comprimé pelliculé
· Les substances actives sont lévonorgestrel et ethinylestradiol:
Chaque comprimé pelliculé rose contient 150 microgrammes de lévonorgestrel et 30 microgrammes d'éthinylestradiol.
Un comprimé pelliculé blanc contient 10 microgrammes d'éthinylestradiol.
Autres composants contenus dans le comprimé rose :
Noyau du comprimé : lactose (voir section 2, SEASONIQUE, comprimé pelliculé contient du lactose), hypromellose, cellulose microcristalline, stéarate de magnésium.
Pelliculage : hypromellose, dioxyde de titane (E171), macrogol 400, rouge Allura (E129) (voir section 2, SEASONIQUE, comprimé pelliculé contient du rouge Allura), polysorbate 80, laque aluminique de bleu brillant FCF (E133).
Autres composants contenus dans le comprimé blanc :
Noyau du comprimé : lactose, polacriline potassique, cellulose microcristalline, stéarate de magnésium.
Pelliculage : dioxyde de titane (E171), polydextrose FCC, hypromellose, triacétine, macrogol 8000.
Le comprimé rose est rond, biconvexe, d'environ 5,7 mm de diamètre, portant l'inscription « 172 » sur une face et « T » sur l'autre face.
Le comprimé blanc est rond, biconvexe, d'environ 5,7 mm de diamètre, portant l'inscription « 173 » sur une face et « T » sur l'autre face.
Titulaire de l’autorisation de mise sur le marché
3RD FLOOR, KILMORE HOUSE,
PARK LANE, SPENCER DOCK,
DUBLIN 1
D01 YE64
IRLANDE
Exploitant de l’autorisation de mise sur le marché
THERAMEX FRANCE
83 AVENUE CHARLES DE GAULLE
92200 NEUILLY-SUR-SEINE
HAUPT PHARMA MÜNSTER GMBH,
SCHLEEBRÜGGENKAMP 15
48159 MÜNSTER
ALLEMAGNE
Noms du médicament dans les Etats membres de l'Espace Economique Européen
Ce médicament est autorisé dans les Etats membres de l'Espace Economique Européen sous les noms suivants : Conformément à la réglementation en vigueur.
[À compléter ultérieurement par le titulaire]
La dernière date à laquelle cette notice a été révisée est :
[à compléter ultérieurement par le titulaire]
< {MM/AAAA}>< {mois AAAA}.>
Des informations détaillées sur ce médicament sont disponibles sur le site Internet de l’ANSM (France).
INFORMATIONS IMPORTANTES SUR SEASONIQUE 150 microgrammes/30 microgrammes + 10 microgrammes, comprimé pelliculé
ET LE RISQUE DE CAILLOTS SANGUINS
Tous les contraceptifs hormonaux combinés tels que SEASONIQUE 150 microgrammes/ 30 microgrammes + 10 microgrammes, comprimé pelliculé augmentent le risque de développement d’un caillot sanguin. Le risque global de développement d’un caillot sanguin associé à SEASONIQUE 150 microgrammes/30 microgrammes + 10 microgrammes, comprimé pelliculé est faible mais les caillots peuvent avoir des conséquences graves et, dans de très rares cas, entraîner le décès.
Il est très important que vous connaissiez les situations dans lesquelles vous avez un risque plus élevé de développer un caillot sanguin, les signes et symptômes auxquels vous devez rester attentive, et les mesures que vous devez prendre.
Dans quelles situations le risque de développer un caillot sanguin est-il le plus élevé ?
· Au cours de la première année d’utilisation de SEASONIQUE 150 microgrammes/30 microgrammes + 10 microgrammes, comprimé pelliculé ;(et également si vous recommencez à l’utiliser après une interruption de 4 semaines ou plus) ;
· Si vous êtes en surpoids important ;
· Si vous avez plus de 35 ans ;
· Si un membre de votre famille proche a développé un caillot sanguin à un âge relativement jeune (avant l’âge de 50 ans) ;
· Si vous avez accouché au cours des semaines précédentes.
Si vous fumez et que vous avez plus de 35 ans, il est fortement recommandé d’arrêter de fumer ou d’utiliser une méthode contraceptive non hormonale.
Vous devez consulter un médecin immédiatement si vous présentez l’un des symptômes suivants :
· Une douleur sévère ou un gonflement affectant l’une de vos jambes, pouvant s’accompagner d’une sensibilité, d’une sensation de chaleur ou d’un changement de la couleur de la peau : pâleur, rougeur ou bleuissement. Vous présentez peut être une thrombose veineuse profonde (phlébite).
· Un essoufflement ou une respiration rapide, survenant de façon soudaine et inexpliquée ; une douleur sévère dans la poitrine pouvant s’intensifier en cas de respiration profonde ; une toux soudaine sans cause évidente (pouvant s’accompagner d’un crachat de sang). Vous présentez peut-être une complication grave suite à une thrombose veineuse profonde, appelée embolie pulmonaire. Cela se produit lorsque le caillot sanguin se déplace de la jambe au poumon.
· Une douleur dans la poitrine, souvent aiguë, mais parfois seulement une gêne, une oppression ou une sensation de poids dans la poitrine, une gêne dans la poitrine irradiant vers le dos, la mâchoire, la gorge, le bras, accompagnée d’une sensation de lourdeur associée à une indigestion ou une suffocation, des sueurs, des nausées, des vomissements ou des sensations vertigineuses. Vous faites peut-être une crise cardiaque (infarctus du myocarde).
· Une faiblesse ou un engourdissement du visage, du bras ou de la jambe, en particulier d’un seul côté du corps ; des troubles de la parole ou de la compréhension ; une confusion soudaine ; une perte de vision soudaine ou une vision trouble ; des maux de tête/migraines sévères plus intenses que d’habitude. Vous faites peut-être un accident vasculaire cérébral (AVC).
Soyez attentive aux symptômes associés à un caillot sanguin, en particulier :
· si vous venez de subir une intervention chirurgicale ;
· si vous êtes restée immobilisée pendant longtemps (par exemple à cause d’une blessure ou d’une maladie, ou si vous avez une jambe dans le plâtre) ;
· si vous avez fait un long voyage (plus de 4 heures).
Pensez à informer votre médecin, pharmacien, sage-femme, infirmier/ère ou chirurgien que vous utilisez SEASONIQUE 150 microgrammes/30 microgrammes + 10 microgrammes, comprimé pelliculé :
· si vous devez ou venez de subir une intervention chirurgicale ;
· à chaque fois qu’un professionnel de santé vous demande si vous prenez un médicament.
Les patientes et les associations agréées de patients peuvent également signaler tout effet indésirable à leur centre régional de pharmacovigilance. Pour plus d’information, consultez le site internet de l’Agence nationale de sécurité du médicament et des produits de santé : www.ansm.sante.fr. Rubrique « Déclarer un effet indésirable ».