Dernière mise à jour le 08/01/2026
TICAGRELOR KRKA 90 mg, comprimé pelliculé
Indications thérapeutiques
Classe pharmacothérapeutique : inhibiteurs de l’agrégation plaquettaire autres que l’héparine - code ATC : B01AC24.
Qu’est-ce que TICAGRELOR KRKA
TICAGRELOR KRKA contient une substance active appelée ticagrélor. Elle appartient à un groupe de médicaments appelés « médicaments antiplaquettaires ».
Dans quel cas est-il utilisé ?
TICAGRELOR KRKA en association avec l’acide acétylsalicylique (un autre agent antiplaquettaire) doit être utilisé chez les adultes uniquement. Le médecin vous a prescrit ce médicament parce que vous avez eu :
· Une crise cardiaque, ou
· un angor instable (angine de poitrine ou douleur thoracique mal contrôlée).
Il réduit pour vous les risques d’avoir une nouvelle crise cardiaque, un accident vasculaire cérébral ou de décéder d’une maladie en rapport avec votre cœur ou vos vaisseaux sanguins.
Comment agit TICAGRELOR KRKA
TICAGRELOR KRKA agit sur des cellules appelées « plaquettes » (aussi appelées thrombocytes). Ces très petites cellules du sang aident à arrêter les saignements en s’agrégeant entre elles afin de colmater les petits trous dans les vaisseaux sanguins lorsqu’ils sont coupés ou endommagés.
Toutefois, les plaquettes peuvent également former des caillots à l'intérieur de vaisseaux sanguins malades dans le cœur et le cerveau. Cela peut être très dangereux car :
· le caillot peut complètement bloquer la circulation du sang - cela peut provoquer une crise cardiaque (infarctus du myocarde) ou une attaque cérébrale, ou
· le caillot peut partiellement bloquer la circulation du sang dans une artère du cœur - cela réduit le flux sanguin vers le cœur, ce qui peut être à l’origine d’une douleur thoracique intermittente (appelée « angor instable »).
TICAGRELOR KRKA agit en empêchant l'agrégation des plaquettes. Cela diminue le risque de formation d’un caillot sanguin susceptible de réduire le flux sanguin.
Présentations
> plaquette(s) PVC PVDC aluminium de 60 comprimé(s)
Code CIP : 34009 302 205 8 0
Déclaration de commercialisation : 10/12/2025
Cette présentation n'est pas agréée aux collectivités
- Prix hors honoraire de dispensation : 20,31 €
- Honoraire de dispensation : 1,02 €
- Prix honoraire compris : 21,33 €
- Taux de remboursement :65 %
Service médical rendu (SMR)
Amélioration du service médical rendu (ASMR)
Ce médicament étant un générique, l'ASMR n'a pas été évalué par la commission de la transparence (CT), il est possible de se référer à la /aux spécialité(s) de référence du groupe générique auquel appartient ce médicament (cliquez ici pour aller à la rubrique des groupes génériques)
ANSM - Mis à jour le : 25/09/2025
TICAGRELOR KRKA 90 mg, comprimé pelliculé
2. COMPOSITION QUALITATIVE ET QUANTITATIVE
Ticagrélor.............................................................................................................................. 90 mg
Pour un comprimé pelliculé.
Pour la liste complète des excipients, voir rubrique 6.1.
Comprimé pelliculé (comprimé).
Comprimés pelliculés ronds, légèrement jaune brunâtre, biconvexes, portant la mention « 90 » sur une face.
Dimensions du comprimé : environ 9 mm de diamètre.
4.1. Indications thérapeutiques
TICAGRELOR KRKA, en association avec l’acide acétylsalicylique (AAS), est indiqué dans la prévention des événements athérothrombotiques chez les patients adultes ayant :
· un syndrome coronaire aigu (SCA) ou
· des antécédents d’infarctus du myocarde (IdM) et à haut risque de développer un événement athérothrombotique (voir rubriques 4.2 et 5.1).
4.2. Posologie et mode d'administration
Les patients sous TICAGRELOR KRKA doivent également prendre une faible dose quotidienne d’AAS (75 à 150 mg) en traitement d’entretien, sauf contre-indication spécifique
Syndromes coronaires aigus
Le traitement par TICAGRELOR KRKA doit être initié à une dose de charge unique de 180 mg (deux comprimés de 90 mg) puis poursuivi à la dose de 90 mg deux fois par jour. Le traitement par TICAGRELOR KRKA 90 mg administré deux fois par jour est recommandé pendant 12 mois chez les patients ayant présenté un SCA, à moins que son arrêt soit cliniquement indiqué (voir rubrique 5.1).
L’arrêt de l’AAS peut être envisagé après 3 mois chez les patients ayant présenté un SCA, traités par une intervention coronarienne percutanée (ICP) et présentant un risque accru de saignement. Dans ce cas, le ticagrélor en monothérapie antiplaquettaire doit être poursuivi pendant 9 mois (voir rubrique 4.4).
Antécédents d’infarctus du myocarde
TICAGRELOR KRKA 60 mg administré deux fois par jour est la dose recommandée lorsque la prolongation du traitement est nécessaire chez les patients ayant des antécédents d’infarctus du myocarde datant d’au moins un an et à haut risque de développer un évènement athérothrombotique (voir rubrique 5.1). Le traitement peut être initié sans interruption en continuité du traitement initial d’un an par TICAGRELOR KRKA 90 mg ou par un autre inhibiteur du récepteur de l’adénosine diphosphate (ADP) chez les patients ayant un SCA avec un haut risque de développer un évènement athérothrombotique.
Le traitement peut également être initié jusqu’à 2 ans après l’infarctus du myocarde ou dans l’année suivant l’arrêt du traitement précédent par un inhibiteur de l’ADP. Les données sur l’efficacité et la sécurité d’emploi du ticagrélor au-delà d'une prolongation du traitement de 3 ans sont limitées.
Si un changement de traitement est nécessaire, la première dose de TICAGRELOR KRKA doit être administrée dans les 24 heures suivant la dernière dose de l’autre antiagrégant plaquettaire.
Oublis de doses
Les oublis de doses doivent également être évités. En cas d’oubli d’une dose de TICAGRELOR KRKA, le patient ne doit prendre qu’un seul comprimé, à l’heure de sa prise habituelle suivante (dose prévue suivant l’oubli).
Populations particulières
Sujets âgés
Aucun ajustement posologique n’est nécessaire chez le sujet âgé (voir rubrique 5.2).
Insuffisance rénale
Aucun ajustement posologique n’est nécessaire chez l’insuffisant rénal (voir rubrique 5.2).
Insuffisance hépatique
Le ticagrélor n’a pas été étudié chez les patients présentant une insuffisance hépatique sévère, et donc son utilisation est contre-indiquée chez ces patients (voir rubrique 4.3). Seules des informations limitées sont disponibles pour les patients présentant une insuffisance hépatique modérée. Aucun ajustement posologique n’est recommandé, mais le ticagrélor doit être utilisé avec prudence (voir rubriques 4.4 et 5.2). Aucun ajustement posologique n’est nécessaire chez les patients présentant une insuffisance hépatique légère (voir rubrique 5.2).
Population pédiatrique
La sécurité d’emploi et l’efficacité du ticagrélor chez les enfants âgés de moins de 18 ans n’ont pas été établies.
Il n'y a pas d'utilisation justifiée du ticagrélor chez les enfants atteints de drépanocytose (voir rubriques 5.1 et 5.2).
Mode d’administration
Voie orale.
TICAGRELOR KRKA peut être administré au cours ou en dehors des repas.
Pour les patients qui ne sont pas capables d’avaler le(s) comprimé(s) en entier, les comprimés peuvent être écrasés en une poudre fine et mélangés dans un demi-verre d’eau et bus immédiatement. Le verre doit être rincé avec un peu plus d’un demi-verre d’eau et le contenu doit être bu. Le mélange peut également être administré via une sonde naso-gastrique. Pour plus d’informations, voir rubrique 6.6.
· Saignement pathologique en cours.
· Antécédent d’hémorragie intracrânienne (voir rubrique 4.8).
· Insuffisance hépatique sévère (voir rubriques 4.2, 4.4 et 5.2).
· L’administration concomitante de ticagrélor avec de puissants inhibiteurs du CYP3A4 (par exemple kétoconazole, clarithromycine, néfazodone, ritonavir et atazanavir), en raison du fait qu’elle peut entraîner une augmentation substantielle de l’exposition au ticagrélor (voir rubrique 4.5).
4.4. Mises en garde spéciales et précautions d'emploi
L’utilisation du ticagrélor chez les patients ayant un risque hémorragique accru connu doit être évaluée au vu du rapport entre ce risque et les bénéfices en termes de prévention d’événements athérothrombotiques (voir rubriques 4.8 et 5.1). Si le traitement est cliniquement indiqué, le ticagrélor doit être utilisé avec prudence dans les groupes de patients suivants :
· Patients à risque accru de saignement (en raison, par exemple, d’un traumatisme récent, d’une intervention chirurgicale récente, de troubles de la coagulation, d’un saignement gastro-intestinal en cours ou récent) ou présentant un risque accru de traumatisme. L’utilisation du ticagrélor est contre-indiquée chez les patients ayant un saignement pathologique en cours, chez les patients ayant un antécédent d’hémorragie intracrânienne et chez les patients ayant une insuffisance hépatique sévère (voir rubrique 4.3).
· Patients recevant de manière concomitante des médicaments susceptibles d’augmenter le risque de saignement (par exemple, anti-inflammatoires non stéroïdiens (AINS), anticoagulants oraux et/ou fibrinolytiques) dans les 24 heures autour de l’administration du ticagrélor.
La transfusion de plaquettes n’ayant pas permis la réversion de l’effet antiagrégant plaquettaire du ticagrélor chez les volontaires sains, il est peu probable que cela apporte un bénéfice clinique chez les patients présentant un saignement. L’administration concomitante de ticagrélor et de desmopressine ne diminuant pas le temps de saignement, il est peu probable que la desmopressine soit efficace dans la prise en charge thérapeutique des évènements hémorragiques (voir rubrique 4.5).
Un traitement antifibrinolytique (acide aminocaproïque ou acide tranexamique) et/ou par le facteur VIIa recombinant peuvent améliorer l’hémostase. Le traitement par ticagrélor peut être repris après l’identification de la cause des saignements et leur prise en charge.
Chirurgie
Il doit être conseillé aux patients d’avertir leurs médecins et leurs dentistes qu’ils prennent du ticagrélor avant de prévoir une intervention chirurgicale et avant de prendre tout nouveau médicament.
Dans l’étude PLATO, chez les patients ayant eu un pontage aorto-coronaire (PAC), le ticagrélor a entraîné une fréquence de saignements plus élevée que le clopidogrel lorsqu’il fût arrêté 1 jour avant la chirurgie mais a entraîné une fréquence de saignements majeurs égale à celle du clopidogrel lorsqu’il fût arrêté 2 jours ou plus avant la chirurgie (voir rubrique 4.8). Si un patient doit avoir une intervention chirurgicale planifiée et que l’effet antiplaquettaire n’est pas souhaité, le ticagrélor doit être arrêté 5 jours avant la chirurgie (voir rubrique 5.1).
Patients ayant des antécédents d’accident vasculaire cérébral ischémique
Les patients ayant présenté un SCA et ayant des antécédents d'accident vasculaire ischémique peuvent être traités par le ticagrélor pendant une durée allant jusqu’à 12 mois (étude PLATO).
Dans l’étude PEGASUS, aucun patient ayant des antécédents d’infarctus du myocarde avec accident vasculaire cérébral ischémique antérieur n’a été inclus. Par conséquent, en l’absence de données, la prolongation du traitement au-delà d’un an n’est pas recommandée chez ces patients.
Insuffisance hépatique
L’utilisation du ticagrélor est contre-indiquée chez les patients présentant une insuffisance hépatique sévère (voir rubriques 4.2 et 4.3). L’expérience du ticagrélor chez les patients présentant une insuffisance hépatique modérée est limitée, par conséquent la prudence est conseillée chez ces patients (voir rubriques 4.2 et 5.2).
Patients présentant un risque d’événements bradycardiques
La surveillance par Holter ECG a montré une augmentation de la fréquence des pauses ventriculaires essentiellement asymptomatiques pendant le traitement par ticagrélor comparé au traitement par clopidogrel. Les patients avec un risque accru de bradycardie (par exemple, patients ayant un syndrome de dysfonctionnement sinusal ne portant pas de pacemaker, un bloc auriculoventriculaire du 2ème ou du 3ème degré ou une syncope liée à une bradycardie) ont été exclus des études principales évaluant l’efficacité et la tolérance du ticagrélor. Par conséquent, en raison de l’expérience clinique limitée, la prudence s’impose quant à l’utilisation du ticagrélor chez ces patients (voir rubrique 5.1).
De plus, le ticagrélor doit être administré avec précaution en cas d’association à des médicaments connus pour induire des bradycardies. Cependant, aucune manifestation d’un effet indésirable cliniquement significatif n’a été observée dans l’étude PLATO après l’administration concomitante d’un ou de plusieurs médicaments connus comme pouvant induire une bradycardie (par exemple 96 % de patients étaient sous bétabloquants, 33 % sous inhibiteurs calciques diltiazem et vérapamil et 4 % sous digoxine) (voir rubrique 4.5)
Durant la sous étude Holter de PLATO, un plus grand nombre de patients présentait des pauses ventriculaires ≥3 secondes avec le ticagrélor qu’avec le clopidogrel pendant la phase aiguë du syndrome coronaire aigu. L’augmentation du nombre de pauses ventriculaires détectées dans la sous étude Holter avec le ticagrélor était plus importante chez les patients ayant une insuffisance cardiaque chronique (ICC) que dans la population générale de l’étude durant la phase aiguë du SCA, mais pas à 1 mois après le SCA avec le ticagrélor ou comparé au clopidogrel. Il n’y a pas eu de conséquences cliniques associées à ce trouble (incluant syncope ou la pose de pacemaker) dans cette population de patients (voir rubrique 5.1).
Des bradyarythmies et des blocs atrio-ventriculaires ont été rapportés depuis la commercialisation chez des patients prenant du ticagrélor (voir rubrique 4.8), principalement chez des patients atteints de SCA, chez lesquels une ischémie cardiaque et des médicaments concomitants réduisant la fréquence cardiaque ou affectant la conduction cardiaque sont des facteurs confondants potentiels. L'état clinique du patient et les médicaments concomitants doivent être évalués comme causes potentielles avant d'ajuster le traitement.
Dyspnée
Une dyspnée a été rapportée chez des patients traités par le ticagrélor. Les dyspnées sont généralement d’intensité légères à modérées et disparaissent souvent sans qu’il soit nécessaire d’arrêter le traitement. Les patients présentant un asthme/ une bronchopneumopathie chronique obstructive (BPCO) peuvent avoir une augmentation du risque absolu de présenter une dyspnée sous ticagrélor. Le ticagrélor doit être utilisé avec précaution chez les patients avec un antécédent d’asthme et/ ou de BPCO. Le mécanisme n’a pas été élucidé. Si un patient développe une dyspnée nouvelle, prolongée ou aggravée, une exploration complète est nécessaire et si celle-ci est mal tolérée, le traitement par ticagrélor doit être interrompu. Pour plus d’informations, voir rubrique 4.8.
Apnée centrale du sommeil
Des cas d’apnée centrale du sommeil, y compris respiration de Cheyne-Stokes, ont été rapportés après la commercialisation chez des patients prenant du ticagrélor. Si une apnée centrale du sommeil est suspectée, une évaluation clinique plus approfondie devrait être envisagée.
Elévations de la créatinine
Les taux de créatinine peuvent augmenter pendant le traitement avec ticagrélor. Le mécanisme n’a pas été élucidé. La fonction rénale doit être évaluée selon les pratiques médicales de routine. Chez les patients ayant présenté un SCA, il est recommandé d’évaluer également la fonction rénale un mois après l’initiation du traitement par ticagrélor, avec une attention particulière pour les patients ≥ 75 ans, les patients avec une insuffisance rénale modérée/ sévère et ceux recevant un traitement concomitant avec un antagoniste des récepteurs à l’angiotensine (ARA).
Augmentation d’acide urique
Une hyperuricémie peut survenir au cours du traitement par ticagrélor (voir rubrique 4.8). La prudence est conseillée chez les patients ayant des antécédents d’hyperuricémie ou d’arthrite goutteuse. Par mesure de précaution, l’utilisation du ticagrélor chez les patients avec une néphropathie uricémique est déconseillée.
Purpura thrombotique thrombocytopénique (PTT)
De très rares cas de purpura thrombotique thrombocytopénique (PTT) ont été rapportés lors de l’utilisation de ticagrélor. Le PTT se caractérise par une thrombocytopénie et une anémie hémolytique microangiopathique associées soit à des signes neurologiques, soit à un dysfonctionnement rénal ou à de la fièvre. Le PTT est une affection potentiellement fatale nécessitant un traitement rapide, incluant une plasmaphérèse.
Interférence avec les tests de fonction plaquettaire pour le diagnostic de la thrombocytopénie induite par l'héparine (TIH)
Dans le test d’activation plaquettaire induit par l'héparine (HIPA) utilisé pour le diagnostic de la TIH, les anticorps contre le complexe facteur 4 plaquettaire/héparine présents dans le sérum du patient activent les plaquettes des volontaires sains en présence d'héparine.
Des résultats faux négatifs à un test de fonction plaquettaire (incluant, mais non limité au test de HIPA) pour la TIH ont été rapportés chez des patients traités par ticagrélor. Ceci est lié à la présence de ticagrélor dans le sérum ou le plasma du patient qui inhibe, pendant le test, les récepteurs P2Y12 présents sur les plaquettes des volontaires sains. Il est donc important d’être informé de tout traitement concomitant par ticagrélor lors de l'interprétation d’un test de fonction plaquettaire pour le diagnostic de TIH.
Chez les patients ayant développé une TIH sous ticagrélor, la balance bénéfice/risque de ce traitement devra être ré-évaluée en tenant compte de l'état prothrombotique dû à la TIH et du risque accru de saignement lié à l’association ticagrélor et traitement anticoagulant.
Autres
En se basant sur la relation observée dans PLATO entre la dose d’entretien d’AAS et l’efficacité relative du ticagrélor comparé à celle du clopidogrel, l’administration concomitante du ticagrélor et d’une forte dose d’entretien d’AAS (>300 mg) n’est pas recommandée (voir rubrique 5.1).
Arrêt prématuré
L’arrêt prématuré de tout traitement antiagrégant plaquettaire, y compris de TICAGRELOR KRKA, pourrait augmenter le risque de décès d’origine cardiovasculaire, d’infarctus du myocarde ou d’accident vasculaire cérébral liés à la pathologie sous-jacente du patient. Par conséquent, l’arrêt prématuré du traitement doit être évité.
Ce médicament contient moins de 1 mmol (23 mg) de sodium par comprimé, c'est-à-dire qu'il est essentiellement « sans sodium ».
4.5. Interactions avec d'autres médicaments et autres formes d'interactions
Effets de certains médicaments ou autres produits sur le ticagrélor
Inhibiteurs du CYP3A4
· Inhibiteurs puissants du CYP3A4 - L’administration concomitante de kétoconazole et de ticagrélor a multiplié par 2,4 la Cmax du ticagrélor et par 7,3 son Aire sous la Courbe (ASC). La Cmax et l’ASC du métabolite actif ont été diminuées de respectivement 89 % et 56 %. Les autres inhibiteurs puissants du CYP3A4 (clarithromycine, néfazodone, ritonavir et atazanavir) auraient probablement des effets similaires, et donc l’administration concomitante des inhibiteurs puissants du CYP3A4 avec le ticagrélor est contre-indiquée (voir rubrique 4.3).
· Inhibiteurs modérés du CYP3A4 - L’administration concomitante de diltiazem avec le ticagrélor a augmenté de 69 % la Cmax du ticagrélor et de 2,7 fois son ASC, et a diminué la Cmax du métabolite actif de 38 %, alors que son ASC est restée inchangée. Le ticagrélor n’a eu aucun effet sur les concentrations plasmatiques du diltiazem. Les autres inhibiteurs modérés du CYP3A4 (par exemple amprénavir, aprépitant, érythromycine et fluconazole) auraient probablement des effets similaires et peuvent donc également être co-administrés avec le ticagrélor.
· Une augmentation d’un facteur 2 de l’exposition au ticagrélor a été observée après une consommation quotidienne de quantités importantes de jus de pamplemousse (3 x 200mL). Cependant, malgré l’amplitude de cette augmentation de l’exposition, il n’est pas attendu d’impact cliniquement significatif pour la plupart des patients.
Inducteurs du CYP3A4
L’administration concomitante de rifampicine avec le ticagrélor a diminué de 73 % la Cmax du ticagrélor et de 86 % son ASC. La Cmax du métabolite actif est restée inchangée et son ASC a diminué de 46 %. Les autres inducteurs du CYP3A4 (par exemple phénytoïne, carbamazépine et phénobarbital) pourraient également diminuer l’exposition au ticagrélor. L’administration concomitante de ticagrélor et de puissants inducteurs du CYP3A4 peut diminuer l’exposition et l’efficacité du ticagrélor et donc leur administration concomitante avec le ticagrélor n’est pas recommandée.
Ciclosporine (inhibiteur de la P-gp et du CYP3A4)
L’administration concomitante de ciclosporine (600 mg) avec le ticagrélor a augmenté de 2,3 fois la Cmax du ticagrélor et de 2,8 fois son ASC. L’ASC du métabolite actif a été augmentée de 32 % et sa Cmax a été diminué de 15 % en présence de ciclosporine.
Aucune donnée n’est disponible concernant l’administration concomitante du ticagrélor avec d’autres substances actives qui sont aussi des inhibiteurs puissants de la P-gp et des inhibiteurs modérés du CYP3A4 (par exemple vérapamil, quinidine) qui pourraient aussi augmenter l’exposition au ticagrélor. Si l’association ne peut être évitée, leur administration concomitante doit être réalisée avec prudence.
Autres
Les études d’interactions pharmacologiques ont montré que l’administration concomitante du ticagrélor avec l'héparine, l'énoxaparine et l’AAS ou la desmopressine n’a d’effet ni sur la pharmacocinétique du ticagrélor ou de son métabolite actif, ni sur l’agrégation plaquettaire induite par l’ADP par comparaison avec le ticagrélor administré seul.
S’ils sont cliniquement indiqués, les médicaments altérant l’hémostase doivent être administrés avec prudence en association avec le ticagrélor.
Il a été observé un retard et une diminution de l’exposition aux inhibiteurs de P2Y12 par voie orale, y compris le ticagrélor et son métabolite actif, chez des patients atteints de SCA traités par morphine (exposition au ticagrélor réduite de 35%). Cette interaction peut être liée à une diminution de la motilité gastro-intestinale et s’applique aux autres opioïdes. Même si les conséquences cliniques ne sont pas connues, les données indiquent une réduction potentielle de l’efficacité du ticagrélor chez les patients co-traités avec la morphine. Chez les patients atteints d’un SCA, chez qui la morphine ne peut être retirée et pour lesquels une inhibition rapide de P2Y12 est nécessaire, l’utilisation d’un inhibiteur de P2Y12 par voie parentérale peut être envisagée.
Effets du ticagrélor sur d’autres médicaments
Médicaments métabolisés par le CYP3A4
· Simvastatine - l’administration concomitante du ticagrélor avec la simvastatine a augmenté de 81 % la Cmax de la simvastatine et de 56 % son ASC, et elle a augmenté de 64 % la Cmax de la simvastatine acide et de 52 % son ASC, les valeurs individuelles étant multipliées par 2 à 3 dans certains cas. L’administration concomitante de ticagrélor avec des doses de simvastatine dépassant 40 mg/jour pourrait causer des effets indésirables dus à la simvastatine qu’il convient d’évaluer par rapport aux bénéfices potentiels. La simvastatine n’a pas eu d’effet sur les concentrations plasmatiques du ticagrélor. Il est possible que le ticagrélor ait des effets similaires sur la lovastatine. L’administration concomitante de ticagrélor avec des doses de simvastatine ou de lovastatine supérieures à 40 mg n’est pas recommandée.
· Atorvastatine - l’administration concomitante d’atorvastatine et de ticagrélor a augmenté de 23 % la Cmax de l’atorvastatine acide et de 36 % son ASC. Des augmentations comparables de l’ASC et de la Cmax ont été observées pour tous les métabolites de l’atorvastatine acide. Ces augmentations ne sont pas considérées comme cliniquement significatives.
· Un effet similaire sur les autres statines métabolisées par CYP3A4 ne peut pas être exclu. Des patients de l’étude PLATO recevant ticagrélor ont pris différentes statines sans que cette association n’ait de conséquence sur la tolérance des statines pour environ 93 % de la cohorte PLATO prenant ces médicaments.
Le ticagrélor est un inhibiteur faible du CYP3A4. Une administration concomitante de ticagrélor et de substrats du CYP3A4 à marge thérapeutique étroite (par exemple cisapride ou des alcaloïdes de l’ergot de seigle) n’est pas recommandée, puisque le ticagrélor peut augmenter l’exposition à ces médicaments.
Substrats de la P-gp (incluant la digoxine, la ciclosporine)
L’administration concomitante de ticagrélor a augmenté de 75 % la Cmax de la digoxine et de 28 % son ASC. La concentration résiduelle moyenne de digoxine a été augmentée d’environ 30 % lors de l’administration concomitante de ticagrélor avec certaines augmentations individuelles multipliées par deux. En présence de digoxine, la Cmax et l’ASC du ticagrélor et de son métabolite actif n’ont pas été modifiées. Une surveillance clinique et/ou biologique appropriée est donc recommandée lors de l’administration concomitante de ticagrélor avec des médicaments substrats de la P-gp à marge thérapeutique étroite, comme la digoxine.
Aucun effet du ticagrélor sur les concentrations plasmatiques de la ciclosporine n’a été relevé. L’effet du ticagrélor sur les autres substrats de la P-gp n’a pas été étudié.
Médicaments métabolisés par le CYP2C9
L’administration concomitante de ticagrélor avec le tolbutamide n’a pas modifié les concentrations plasmatiques respectives de ces médicaments, ce qui suggère que le ticagrélor n’est pas un inhibiteur du CYP2C9 et qu’une interférence avec les médicaments métabolisés par le CYP2C9 comme la warfarine et le tolbutamide est peu probable.
Rosuvastatine (substrat BCRP)
Contraceptifs oraux
L’administration concomitante de ticagrélor, de lévonorgestrel et d’éthinylœstradiol a augmenté l’exposition d’éthinylœstradiol d’environ 20 % mais n’a pas modifié la pharmacocinétique du lévonorgestrel. Aucun effet cliniquement significatif sur l’efficacité d’une contraception orale n’est attendu lorsque le lévonorgestrel et l’éthinylœstradiol sont co-administrés avec le ticagrélor.
Médicaments connus pour induire une bradycardie
En raison d’observations de pauses ventriculaires et de bradycardies le plus souvent asymptomatiques, le ticagrélor doit être administré avec précaution en cas d’association avec des médicaments connus pour induire des bradycardies (voir rubrique 4.4). Cependant, aucune manifestation d’un effet indésirable cliniquement significatif n’a été observée dans l’étude PLATO après l’administration concomitante d’un ou de plusieurs médicaments connus comme pouvant induire une bradycardie (par exemple 96 % de patients étaient sous bétabloquants, 33 % sous inhibiteurs calciques diltiazem et vérapamil et 4 % sous digoxine).
Autres traitements concomitants
Dans les études cliniques, le ticagrélor a été fréquemment administré avec de l’AAS, des inhibiteurs de la pompe à protons, des statines, des bêta-bloquants, des inhibiteurs de l’enzyme de conversion de l’angiotensine (IEC) et des antagonistes des récepteurs de l’angiotensine, si nécessaire, en fonction des pathologies concomitantes, pour de longues périodes, et aussi avec de l’héparine, de l’héparine de bas poids moléculaire et des inhibiteurs de la GpIIb/IIIa par voie intraveineuse sur de courtes durées (voir rubrique 5.1). Il n’a pas été observé d'interactions cliniquement significatives avec ces divers médicaments.
L’administration concomitante de ticagrélor et d’héparine, d’enoxaparine ou de desmopressine n’a pas eu d’effet sur le temps de thromboplastine partielle activée, le temps de coagulation activée ou les dosages du facteur Xa. Cependant, en raison d’interactions pharmacodynamiques potentielles, toute administration concomitante de ticagrélor avec des médicaments connus pour altérer l’hémostase doit être réalisée avec prudence.
En raison de notification de saignements cutanés anormaux avec les Inhibiteurs Sélectifs de la Recapture de la Sérotonine (ISRS) (par exemple paroxétine, sertraline et citalopram), le ticagrélor doit être administré avec précaution en cas d’association avec les ISRS car cela peut augmenter le risque de saignement.
4.6. Fertilité, grossesse et allaitement
Femmes en âge de procréer
Les femmes susceptibles de procréer doivent utiliser une méthode contraceptive efficace pour éviter une grossesse pendant le traitement par le ticagrélor.
Grossesse
Les données sur l'utilisation du ticagrélor chez la femme enceinte sont absentes ou limitées. Les études chez l’animal ont montré une toxicité sur la reproduction (voir rubrique 5.3). Le ticagrélor n’est pas recommandé pendant la grossesse.
Les données de pharmacologie et toxicologie disponibles issues d’études menées chez l’animal montrent un passage du ticagrélor et de son métabolite actif dans le lait (voir rubrique 5.3). Un risque pour les nouveau-nés et les nourrissons ne peut être exclu. La décision d’arrêter/continuer l’allaitement ou d’arrêter/continuer le traitement par le ticagrélor doit être prise en prenant en compte les bénéfices de l’allaitement pour l’enfant et les bénéfices du traitement pour la mère.
Fertilité
Le ticagrélor n’a pas d’effet sur la fertilité mâle ou femelle chez les animaux (voir rubrique 5.3).
4.7. Effets sur l'aptitude à conduire des véhicules et à utiliser des machines
Résumé du profil de sécurité d’emploi
Le profil de sécurité d’emploi du ticagrélor a été évalué lors de deux essais cliniques de phase 3 à grande échelle (PLATO et PEGASUS) ayant inclus plus de 39 000 patients (voir rubrique 5.1).
Dans l’étude PLATO, l’incidence des arrêts dus à des événements indésirables a été plus élevée chez les patients sous ticagrélor que sous clopidogrel (7,4 % vs 5,4 %). Dans l’étude PEGASUS, l’incidence des arrêts dus à des événements indésirables a été plus élevée chez les patients sous ticagrélor que sous AAS en monothérapie (16,1 % pour le ticagrélor 60 mg avec AAS vs 8,5 % pour l’AAS en monothérapie). Les effets indésirables les plus fréquemment rapportés chez les patients traités par le ticagrélor ont été des cas de saignements et de dyspnées (voir rubrique 4.4).
Liste tabulée des effets indésirables
Les effets indésirables suivants ont été identifiés lors des études ou ont été rapportés lors de l’utilisation post-commercialisation du ticagrélor (Tableau 1).
Les effets indésirables sont présentés selon la classification par système d’organes (SOC) de MedDRA. Au sein de chaque SOC, les effets indésirables sont classés par catégories de fréquence. Les catégories de fréquence sont définies selon les conventions suivantes : très fréquent (≥1/10), fréquent (≥1/100 à <1/10), peu fréquent (≥1/1 000 à <1/100), rare (≥1/10 000 à <1/1 000), très rare (<1/10 000), indéterminée (ne peut pas être estimé sur la base des données disponibles).
Tableau 1 - Effets indésirables par fréquence et classe de système d'organes (SOC)
|
Système d’organes |
Très fréquent |
Fréquent |
Peu fréquent |
Fréquence indéterminée |
|
Tumeurs bénignes, malignes et non précisées (incl. kystes et polypes) |
|
|
Saignements d’une tumeura |
|
|
|
||||
|
|
||||
|
|
||||
|
Affections hématologiques et du système lymphatique |
Saignements dus à des troubles hématologiquesb |
|
|
Purpura thrombotique thrombocytopéniquec |
|
Affections du système immunitaire |
|
|
Hypersensibilité incluant angio- œdèmec |
|
|
Troubles du métabolisme et de la nutrition |
Hyperuricémied |
Goutte/ Arthrite goutteuse |
|
|
|
Affections psychiatriques |
|
|
Confusion |
|
|
Affections du système nerveux |
|
Sensation vertigineuse, syncope, céphalée |
Hémorragie intracrâniennem |
|
|
Affections oculaires |
|
|
Hémorragie de l'œile |
|
|
Affections de l’oreille et du labyrinthe |
|
Vertige |
Otorragie |
|
|
Affections cardiaques |
|
|
|
Bradyarythmie, Bloc auriculo-ventriculairec |
|
Affections vasculaires |
|
Hypotension |
|
|
|
Affections respiratoires, thoraciques et médiastinales |
Dyspnée |
Saignement de l’appareil respiratoiref |
|
|
|
Affections gastro- intestinales |
|
Hémorragie gastro-intestinaleg, Diarrhée, Nausée, Dyspepsie, Constipation |
Hémorragie rétropéritonéale |
|
|
Affections de la peau et du tissu sous-cutané |
|
Saignement sous-cutané ou dermiqueh, Rash, Prurit |
|
|
|
Affections du tissu musculo- squelettique systémique et os |
|
|
Saignement musculairei |
|
|
Affections du rein et des voies urinaires |
|
Saignement des voies urinairesj |
|
|
|
Affections des organes de reproduction et du sein |
|
|
Saignement des organes de la reproductionk |
|
|
Investigations |
|
Créatinine sanguine augmentéed |
|
|
|
Lésions, intoxications et complications liées aux procédures |
|
Hémorragie post intervention, Saignement traumatiquel |
|
|
a par exemple saignement dû à un cancer de la vessie, de l’estomac ou du côlon
b par exemple augmentation de la tendance aux ecchymoses, hématomes spontanés, diathèses hémorragiques
c identifié dans le cadre de l’expérience post-commercialisation
d fréquences provenant de résultats d’analyses (augmentation de l’acide urique > limite supérieure de la normale à partir d’une valeur initiale inférieure à l’intervalle de référence ou dans celui-ci. Augmentation de la créatinine > 50 % de la valeur initiale) et non fréquence brute des notifications de l’événement indésirable.
e par exemple saignement conjonctival, rétinien, intraoculaire
f par exemple épistaxis, hémoptysie
g par exemple gingivorragie, rectorragie, hémorragie d'un ulcère gastrique
h par exemple ecchymose, hémorragie cutanée, pétéchies
i par exemple hémarthrose, hémorragie musculaire j par exemple hématurie, cystite hémorragique
k par exemple hémorragie vaginale, hémospermie, hémorragie post-ménopausique
l par exemple contusion, hématome traumatique, hémorragie traumatique
m c’est-à-dire une hémorragie intracrânienne spontanée, liée à une intervention ou traumatique
Description d’effets indésirables sélectionnés
Saignements
Observations relatives aux saignements lors de l’étude PLATO
Le Tableau 2 présente l’évolution globale des taux de saignements dans l’étude PLATO.
Tableau 2 – Analyse des événements hémorragiques totaux, estimations de Kaplan-Meier à 12 mois (PLATO)
|
|
Ticagrélor 90 mg deux fois par jour N=9235 |
Clopidogrel N=9186 |
Valeur de p* |
|
Total Majeurs, définition PLATO |
11,6 |
11,2 |
0,4336 |
|
Majeurs Fatals/Engageant le pronostic vital, définition PLATO |
5,8 |
5,8 |
0,6988 |
|
Majeurs non liés à un PAC, définition PLATO |
4,5 |
3,8 |
0,0264 |
|
Majeurs non liés à une procédure, définition PLATO |
3,1 |
2,3 |
0,0058 |
|
Total Majeurs + Mineurs, définition PLATO |
16,1 |
14,6 |
0,0084 |
|
Majeurs + Mineurs non liés à une procédure, définition PLATO |
5,9 |
4,3 |
<0,0001 |
|
Majeurs, définition TIMI |
7,9 |
7,7 |
0,5669 |
|
Majeurs + Mineurs, définition TIMI |
11,4 |
10,9 |
0,3272 |
Définitions des catégories de saignements :
Saignements Majeurs, Fatals, Engageant le pronostic vital : Cliniquement évidents avec une perte de plus de 50 g/L d’hémoglobine ou la transfusion d’au moins 4 culots globulaires ; ou fatals ; ou intracrâniens ; ou intrapéricardiques avec tamponnade cardiaque ; ou avec choc hypovolémique ou hypotension sévère nécessitant une intervention chirurgicale ou le recours à des vasopresseurs.
Autres Majeurs : Cliniquement évidents avec une perte de 30 à 50 g/L d’hémoglobine ou la transfusion de 2 à 3 culots globulaires ; ou entraînant un handicap significatif.
Saignements Mineurs : Nécessitent un acte médical pour arrêter ou traiter le saignement.
Saignements Majeurs, définition TIMI : Cliniquement évidents avec une diminution de plus de 50 g/L d’hémoglobine ou saignement intracrânien.
Saignements mineurs, définition TIMI : Cliniquement évidents avec une diminution de 30 à 50 g/L d’hémoglobine.
* Valeur de p calculée à partir d’un modèle à risques proportionnels de Cox avec le groupe de traitement à titre de seule variable explicative.
Dans l’étude PLATO, la fréquence de survenue des saignements « majeurs fatals/engageant le pronostic vital », « Total Majeurs » selon le critère PLATO, TIMI Majeurs et TIMI mineurs n’était pas différent entre le ticagrélor et le clopidogrel (Tableau 2). Cependant, il est survenu plus de saignements majeurs et mineurs suivant la définition PLATO sous ticagrélor que sous clopidogrel.
Dans l’étude PLATO, il y a eu peu de saignements fatals : 20 (0,2 %) pour ticagrélor et 23 (0,3 %) sous clopidogrel (voir rubrique 4.4).
Aucun des facteurs suivants, âge, sexe, poids, origine ethnique, origine géographique, maladies associées, traitements associés, antécédents médicaux incluant les accidents vasculaires cérébraux et les accidents ischémiques transitoires, n’a permis de prédire les saignements globaux ou les saignements majeurs (définition PLATO) non liés à une procédure interventionnelle. Il n’y a donc pas de sous-groupe identifié comme à risque de quelque forme de saignement que ce soit.
Saignements liés à un pontage aorto-coronaire :
Dans l’étude PLATO, 1584 patients (12 % de la cohorte) ont eu un pontage aorto-coronaire (PAC) et 42 % d’entre eux ont eu un saignement majeur fatal ou engageant le pronostic vital selon le critère PLATO sans différence entre les groupes de traitement. Des saignements fatals liés à un pontage aorto-coronaire sont survenus chez 6 patients dans chaque groupe de traitement (voir rubrique 4.4).
Saignements non liés à un pontage aorto-coronaire ou à une procédure :
Le ticagrélor et le clopidogrel ne sont pas différents en termes de saignements définis comme majeurs fatals ou engageant le pronostic vital chez les malades non pontés, mais les saignements définis comme « total majeurs » selon le critère (PLATO), TIMI majeurs et TIMI majeurs et mineurs étaient plus fréquents avec le ticagrélor. De même, lorsqu’on exclut tous les saignements en rapport avec une procédure, davantage de saignements sont survenus sous ticagrélor que sous clopidogrel (tableau 2). Les arrêts de traitement liés à des saignements non liés à une procédure ont été plus fréquents sous ticagrélor (2,9 %) que sous clopidogrel (1,2 % ; p<0,001).
Saignements intracrâniens :
Il y a plus de saignements intracrâniens non reliés à une procédure dans le groupe ticagrélor (n=27 saignements chez 26 patients, 0,3 %) que dans le groupe clopidogrel (n=14 saignements, 0,2 %), avec onze saignements fatals sous ticagrélor contre un sous clopidogrel. Il n’y pas eu de différence sur la totalité des hémorragies fatales.
Observations relatives aux saignements lors de l’étude PEGASUS
Le Tableau 3 présente l’évolution globale des taux de saignements dans l’étude PEGASUS.
Tableau 3 – Analyse des événements hémorragiques totaux, estimations de Kaplan-Meier à 36 mois (étude PEGASUS)
|
|
Ticagrélor 60 mg deux fois par jour + AAS N=6958 |
AAS en monothérapie N = 6996 |
|
|
|
Critères de sécurité d’emploi |
KM % |
Risque relatif (IC à 95 %) |
KM % |
Valeur de p |
|
Catégories de saignements, définitions TIMI |
||||
|
TIMI Majeurs |
2,3 |
2,32 (1,68 - 3,21) |
1,1 |
<0,0001 |
|
Fatals |
0,3 |
1,00 (0,44 - 2,27) |
0,3 |
1,0000 |
|
HIC |
0,6 |
1,33 (0,77 - 2,31) |
0,5 |
0,3130 |
|
Autres Majeurs, définition TIMI |
1,6 |
3,61 (2,31 - 5,65) |
0,5 |
<0,0001 |
|
Majeurs ou Mineurs, définition TIMI |
3,4 |
2,54 (1,93 - 3,35) |
1,4 |
<0,0001 |
|
Majeurs ou Mineurs, définition TIMI, nécessitant une action médicale |
16,6 |
2,64 (2,35 - 2,97) |
7,0 |
<0,0001 |
|
Catégories de saignements, définitions PLATO |
||||
|
Majeurs, définition PLATO |
3,5 |
2,57 (1,95 - 3,37) |
1,4 |
<0,0001 |
|
Fatals/Engageant le pronostic vital |
2,4 |
2,38 (1,73 - 3,26) |
1,1 |
<0,0001 |
|
Autres Majeurs, définition PLATO |
1,1 |
3,37 (1,95 - 5,83) |
0,3 |
<0,0001 |
|
Majeurs ou Mineurs, définition PLATO |
15,2 |
2,71 (2,40 - 3,08) |
6,2 |
<0,0001 |
Définitions des catégories de saignements :
Majeurs TIMI : Saignement fatal OU tout saignement intracrânien, OU signes cliniquement évidents d’hémorragie avec une diminution de l’hémoglobinémie (Hb) ≥ 50 g/L, ou, si Hb non disponible, diminution de l’hématocrite (Hct) de 15 %.
Fatal : Événement hémorragique aboutissant directement au décès dans les 7 jours.
HIC : Hémorragie intracrânienne.
Autres Majeurs, définition TIMI : Saignements Majeurs non-fatals non-HIC, définition TIMI.
Mineurs, définition TIMI : Cliniquement évidents avec une diminution de 30 à 50 g/L de l’hémoglobinémie.
Nécessitant une action médicale, définition TIMI : Nécessitant une intervention, OU entraînant une hospitalisation, OU suscitant une évaluation.
Majeurs Fatals/Engageant le pronostic vital, définition PLATO : Saignements fatals, OU tout saignement intracrânien, OU intrapéricardiques avec tamponnade cardiaque OU avec choc hypovolémique ou hypotension sévère nécessitant le recours à des vasopresseurs/inotropes ou une intervention chirurgicale OU cliniquement apparents avec diminution > 50 g/L de l’hémoglobinémie ou transfusion de ≥ 4 culots globulaires.
Autres Majeurs, définition PLATO : Entraînant un handicap significatif, OU cliniquement évidents avec une perte de 30 à 50 g/L d’hémoglobine OU la transfusion de 2 à 3 culots globulaires.
Mineurs, définition PLATO : Nécessitent un acte médical pour arrêter ou traiter le saignement.
Dans l’étude PEGASUS, les hémorragies majeures (définition TIMI) ont été plus fréquentes sous ticagrélor 60 mg administré deux fois par jour que sous AAS en monothérapie. Aucune augmentation du risque hémorragique n’a été observée pour les saignements fatals, et seule une augmentation mineure a été observée pour les hémorragies intracrâniennes comparativement à l'AAS en monothérapie. Quelques événements hémorragiques fatals sont survenus au cours de l’étude, 11 (0,3 %) pour le ticagrélor 60 mg et 12 (0,3 %) pour l’AAS en monothérapie. L'augmentation observée du risque de saignements majeurs TIMI avec le ticagrélor 60 mg a été principalement due à une fréquence plus élevée des autres saignements majeurs TIMI, liés à des événements gastro-intestinaux.
Des augmentations des profils de saignements similaires aux saignements majeurs TIMI ont été observées pour les catégories de saignements majeurs ou mineurs TIMI, majeurs PLATO et majeurs ou mineurs PLATO (voir Tableau 3). L’arrêt du traitement en raison de saignements a été plus fréquent avec le ticagrélor 60 mg qu’avec l’AAS en monothérapie (respectivement 6,2 % et 1,5 %). La majorité de ces saignements a été de moindre sévérité (nécessitant un acte médical selon la définition TIMI), par exemple épistaxis, ecchymose et hématomes.
Le profil des saignements sous ticagrélor 60 mg a été constant sur plusieurs sous-groupes prédéfinis (par exemple par âge, sexe, poids, origine ethnique, région géographique, pathologies concomitantes, traitement concomitant et antécédents médicaux) pour les saignements majeurs TIMI, majeurs ou mineurs TIMI et majeurs PLATO.
Saignements intracrâniens :
Des HIC spontanées ont été rapportées à des taux similaires pour le ticagrélor 60 mg et l’AAS en monothérapie (n=13, 0,2 % dans les deux groupes de traitement). La fréquence des HIC d’origine traumatique ou dues à une procédure a été légèrement plus élevée avec le ticagrélor 60 mg (n=15, 0,2 %) qu'avec l'AAS en monothérapie (n=10, 0,1 %). Six HIC fatales sont survenues avec le ticagrélor 60 mg et 5 avec l’AAS en monothérapie. L’incidence des saignements intracrâniens a été faible dans les deux groupes de traitement, étant donné les comorbidités significatives et les facteurs de risque cardiovasculaire dans la population étudiée.
Dyspnée
Des dyspnées, une sensation d’essoufflement, ont été rapportées par les patients traités par le ticagrélor. Dans l’étude PLATO, des événements indésirables (EI) de type dyspnée (dyspnée, dyspnée de repos, dyspnée à l’effort, dyspnée paroxystique nocturne et dyspnée nocturne), lorsque combinés, étaient rapportés chez 13,8 % des patients traités par ticagrélor contre 7,8 % des patients traités par clopidogrel. Chez environ 2,2 % des patients traités par ticagrélor et 0,6 % des patients traités par clopidogrel, les investigateurs ont considéré que ces dyspnées étaient reliées au traitement dans l’étude PLATO et que peu étaient graves (0,14 % ticagrélor ; 0,02 % clopidogrel), (voir rubrique 4.4). La plupart des événements indésirables de type dyspnée étaient d’intensité légère à modérée, et la plupart étaient des épisodes uniques survenant peu de temps après le début du traitement.
Par rapport à clopidogrel, les patients présentant un asthme/une BPCO traités avec le ticagrélor peuvent présenter une augmentation du risque de survenue de dyspnée non grave (3,29 % sous ticagrélor versus 0,53 % sous clopidogrel) et de dyspnée grave (0,38 % sous ticagrélor versus 0,00 % sous clopidogrel). En termes absolus, ce risque était plus élevé que dans la population totale de PLATO. Le ticagrélor doit être utilisé avec précaution chez les patients ayant des antécédents d’asthme et/ou de BPCO (voir rubrique 4.4).
Environ 30 % des épisodes dyspnéiques ont disparu en moins de 7 jours. L’étude PLATO a inclus des patients ayant une insuffisance cardiaque congestive (ICC), une BPCO ou un asthme connus ; ces patients et les sujets âgés étaient les plus susceptibles de rapporter une dyspnée. Le nombre de patients arrêtant le traitement en raison de l’apparition d’une dyspnée était plus élevé sous ticagrélor (0, 9 %) que sous clopidogrel (0,1 %). La fréquence plus élevée de dyspnée sous ticagrélor n’est pas associée à l’apparition ou l’aggravation d’une pathologie cardiaque ou pulmonaire (voir rubrique 4.4). Le ticagrélor ne modifie pas les explorations fonctionnelles respiratoires.
Dans l’étude PEGASUS, des dyspnées ont été rapportées chez 14,2 % des patients traités par 60 mg de ticagrélor administré deux fois par jour et chez 5,5 % de patients traités par AAS en monothérapie.
Comme dans l’étude PLATO, les cas de dyspnée rapportés ont été le plus souvent d’intensité légère à modérée (voir rubrique 4.4). Les patients ayant rapportés une dyspnée avaient tendance à être plus âgés et avaient plus fréquemment présenté une dyspnée, une ICC, une BPCO ou un asthme à l’inclusion.
Investigations
Augmentation de l’acide urique : dans l’étude PLATO, l’uricémie a dépassé la limite supérieure de la normale chez 22 % des patients recevant le ticagrélor contre 13 % des patients recevant le clopidogrel. Les proportions correspondantes dans l’étude PEGASUS ont été de 9,1 %, 8,8 % et 5,5 % respectivement pour le ticagrélor 90 mg, le ticagrélor 60 mg et le placebo. L’uricémie moyenne a augmenté d’environ 15 % sous ticagrélor, contre environ 7,5 % sous clopidogrel, et après l’arrêt du traitement une diminution d’environ 7 % a été observée sous ticagrélor mais pas de diminution observée sous clopidogrel. Dans l’étude PEGASUS, une augmentation transitoire de l’uricémie moyenne de 6,3 % et 5,6 % a été observée respectivement sous ticagrélor 90 mg et 60 mg, comparativement à une diminution de 1,5 % dans le groupe placebo. Dans l’étude PLATO, la fréquence de survenue d’une arthrite goutteuse était de 0,2 % pour le ticagrélor contre 0,1 % pour le clopidogrel. Les proportions correspondantes pour la goutte/l'arthrite goutteuse dans l’étude PEGASUS ont été de 1,6 %, 1,5 % et 1,1 % respectivement pour le ticagrélor 90 mg, le ticagrélor 60 mg et le placebo.
Déclaration des effets indésirables suspectés
La déclaration des effets indésirables suspectés après autorisation du médicament est importante. Elle permet une surveillance continue du rapport bénéfice/risque du médicament. Les professionnels de santé déclarent tout effet indésirable suspecté via le système national de déclaration : Agence nationale de sécurité du médicament et des produits de santé (ANSM) et réseau des Centres Régionaux de Pharmacovigilance - Site internet : https://signalement.social-sante.gouv.fr/.
Le ticagrélor est bien toléré jusqu’à des doses uniques de 900 mg. Une toxicité gastro-intestinale a été l’événement limitant dans une étude d’escalade de doses uniques. Les autres effets indésirables significatifs au plan clinique pouvant survenir en cas de surdosage sont la dyspnée et les pauses ventriculaires (voir rubrique 4.8).
En cas de surdosage, les effets indésirables potentiels mentionnés ci-dessus peuvent apparaître et une surveillance électrocardiographique devra être envisagée.
Il n’existe actuellement aucun antidote connu pour neutraliser les effets du ticagrélor, et le ticagrélor n’est pas dialysable (voir rubrique 5.2). Le traitement du surdosage doit suivre la pratique médicale standard locale. L’effet attendu en cas de surdosage de ticagrélor est une prolongation de la durée du risque de saignements liés à l’inhibition plaquettaire. Il est peu probable qu’une transfusion plaquettaire apporte un bénéfice clinique chez les patients présentant un saignement (voir rubrique 4.4). D’autres mesures appropriées de soutien devront être prises si des saignements apparaissent.
5. PROPRIETES PHARMACOLOGIQUES
5.1. Propriétés pharmacodynamiques
Mécanisme d’action
TICAGRELOR KRKA contient du ticagrélor, appartenant à la classe chimique des cyclopentyltriazolopyrimidines (CPTP), antagoniste oral, directement actif, qui grâce à une liaison sélective et réversible au récepteur P2Y12, empêche l’activation et l’agrégation plaquettaires dépendantes du P2Y12 et induites par l’ADP. Le ticagrélor n’empêche pas la liaison de l'ADP, mais lorsqu’il est lié au récepteur P2Y12, il empêche la transduction du signal induit par l’ADP. Les plaquettes participant à l'initiation et/ou à l'évolution des complications thrombotiques de la maladie athérosclérotique, l’inhibition de la fonction plaquettaire est associée à une réduction du risque d’évènements cardiovasculaires tels que décès, infarctus du myocarde ou accident vasculaire cérébral.
Le ticagrélor augmente également les niveaux d'adénosine endogène locale en inhibant le transporteur équilibrant de type 1 de nucléosides (ENT-1).
Le ticagrélor a démontré une augmentation des effets suivants induits par l'adénosine, chez des sujets sains et chez des patients présentant un SCA : vasodilatation (mesurée par le débit sanguin coronaire qui augmente chez les volontaires sains et les patients atteints de SCA ; maux de tête), inhibition de la fonction plaquettaire (dans le sang humain in vitro) et dyspnée. Cependant, un lien entre les augmentations observées de l’adénosine et les résultats cliniques (par exemple : morbidité – mortalité) n’a pas été clairement établi.
Effets pharmacodynamiques
Apparition de l’effet
Chez les patients ayant une coronaropathie stable sous AAS, le ticagrélor démontre une rapidité de son effet pharmacologique, comme le montre l’inhibition moyenne de l’agrégation plaquettaire (IAP), qui est d’environ 41 %, 0,5 heure après une dose de charge de 180 mg de ticagrélor. L’inhibition de l’agrégation plaquettaire maximale est de 89 %, 2 à 4 heures après l’administration du traitement et se maintient pendant 2 à 8 heures. L’inhibition de l’agrégation plaquettaire finale est supérieure à 70 % 2 heures après l’administration du traitement chez 90 % des patients.
Disparition de l'effet
Si un pontage aorto-coronaire est prévu, le risque de saignement avec le ticagrélor est augmenté comparativement au clopidogrel quand il est arrêté moins de 96 heures avant l’intervention.
Données de substitution
La substitution du clopidogrel 75 mg par le ticagrélor 90 mg administré deux fois par jour conduit à une augmentation absolue de l’inhibition de l’agrégation plaquettaire de 26,4 %, et la substitution du ticagrélor par le clopidogrel entraine une diminution absolue de l’IAP de 24,5 %. Les patients peuvent passer du clopidogrel au ticagrélor sans interruption de l’effet antiplaquettaire (voir rubrique 4.2).
Efficacité et sécurité clinique
Les données cliniques relatives à l’efficacité et à la sécurité clinique du ticagrélor proviennent de deux essais de phase 3 :
· L’étude PLATO (PLATelet Inhibition and Patient Outcomes), qui a comparé le ticagrélor au clopidogrel, tous deux administrés en association à l’AAS et d’autres traitements standards.
· L’étude PEGASUS TIMI-54 (PrEvention with TicaGrelor of SecondAry Thrombotic Events in High-RiSk AcUte Coronary Syndrome Patients), qui a comparé le ticagrélor en association à l’AAS en monothérapie.
Etude PLATO (Syndromes coronaires aigus)
L’étude PLATO a inclus 18 624 patients ayant un syndrome coronaire aigu (angor instable, infarctus du myocarde sans sus-décalage du segment ST [AI/NSTEMI] ou infarctus du myocarde avec sus-décalage du segment ST [STEMI]) avec apparition des symptômes depuis moins de 24 heures et traités initialement soit médicalement, soit par intervention coronaire percutanée (ICP) ou par PAC.
Efficacité clinique
Sur la base d’une administration quotidienne d’AAS, le ticagrélor à la dose de 90 mg administré 2 fois par jour s’est montré supérieur au clopidogrel à la dose de 75 mg administré une fois par jour, quant à la prévention du critère composite primaire de décès cardiovasculaire [CV], d’infarctus du myocarde [IdM] ou d’accident vasculaire cérébral, avec une différence liée à une réduction des décès CV et des IdM. Les patients ont reçu 300 mg de dose de charge de clopidogrel (possibilité d’administrer 600 mg en cas d’ICP) ou 180 mg de ticagrélor.
Ce résultat est apparu rapidement (avec une réduction du risque absolu [RRA] de 0,6 % et une réduction du risque relatif [RRR] de 12 % à trente jours), avec un effet constant du traitement pendant toute la période de 12 mois de l’étude, aboutissant à un RRA de 1,9 % et un RRR de 16 % à un an.
Cela suggère qu’il est approprié de traiter les patients par le ticagrélor 90 mg administré deux fois par jour pendant 12 mois (voir rubrique 4.2). Traiter 54 patients avec syndrome coronaire aigu par le ticagrélor à la place du clopidogrel évitera 1 évènement athérothrombotique. Traiter 91 patients évitera 1 décès cardiovasculaire (voir la Figure 1 et le Tableau 4).
L’effet du traitement par le ticagrélor par rapport au clopidogrel apparait de façon cohérente dans de nombreux sous-groupes, incluant poids ; sexe ; antécédents médicaux de diabète, d’accident ischémique transitoire, d’accident vasculaire cérébral non hémorragique ou de revascularisation ; traitements concomitants incluant les héparines, les anti GPIIb/IIIa et les inhibiteurs de la pompe à proton (voir rubrique 4.5) ; diagnostic final (STEMI, NSTEMI ou angor instable) ; et stratégie thérapeutique initialement envisagée lors de la randomisation (interventionnelle ou médicale).
Une interaction faiblement significative a été observée en fonction des régions ; le hazard ratio (HR) du critère principal d’évaluation est en faveur du ticagrélor dans le reste du monde sauf en Amérique du Nord, région ou près de 10 % des patients de l’étude avaient été inclus, où il est en faveur du clopidogrel (p interaction =0,045). Des analyses exploratoires suggèrent une association possible avec la dose d’AAS : une diminution de l’efficacité a été observée avec le ticagrélor en augmentant les doses d’AAS. Les doses chroniques journalières d’AAS pour accompagner le ticagrélor doivent être de 75-150 mg (voir rubriques 4.2 et 4.4).
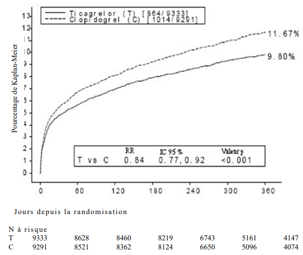
La Figure 1 présente l’estimation du risque de première apparition d’un des événements du critère primaire composite.
Figure 1 – Temps écoulé avant la première survenue d’un décès d’origine CV, d’un IM ou d’un AVC (PLATO)

Le ticagrélor a diminué la survenue du critère principal composite d’évaluation comparativement au clopidogrel dans la population Angor instable/NSTEMI et STEMI (Tableau 4). Par conséquent, TICAGRELOR KRKA 90 mg administré deux fois par jour en association avec de faibles doses d’AAS peut être utilisé chez les patients présentant un SCA (angor instable, infarctus du myocarde sans sus-décalage du segment ST [AI/NSTEMI] ou infarctus du myocarde avec sus-décalage du segment ST [STEMI]) ; y compris chez les patients traités médicalement et chez ceux traités par une intervention coronaire percutanée (ICP) ou un pontage aorto-coronarien (PAC).
Tableau 4– Analyse du critère principal et des critères secondaires (PLATO)
|
|
Patients avec événements en pourcentage |
|
|
|
|
|
Ticagrélor 90 mg deux fois par jour N=9333 |
Clopidogrel 75 mg deux fois par jour N=9291 |
RRAa (%/an) |
RRRa(%) (95 % CI) |
Valeur p |
|
|
Critère composite de décès CV, IdM (sauf IdM silencieux) ou AVC |
9,3 |
10,9 |
1,9 |
16 (8-23) |
0,0003 |
|
Traitement interventionnel planifié |
8,5 |
10,0 |
1,7 |
16 (6-25) |
0,0025 |
|
Traitement médical planifié |
11,3 |
13,2 |
2,3 |
15 (0,3-27) |
0,0444d |
|
Décès CV |
3,8 |
4,8 |
1,1 |
21 (9-31) |
0,0013 |
|
IdM (sauf IdM silencieux) b |
5,4 |
6,4 |
1,1 |
16 (5-25) |
0,0045 |
|
AVC |
1,3 |
1,1 |
-0,2 |
-17 (-52 – 9) |
0,2249 |
|
Mortalité toutes causes, IdM (sauf IdM silencieux) ou AVC |
9,7 |
11,5 |
2,1 |
16 (8-23) |
0,0001 |
|
Décès CV, Total IdM, AVC, IRG, IR, AIT ou Autres EATc |
13,8 |
15,7 |
2,1 |
12 (5-19) |
0,0006 |
|
Mortalité toutes causes |
4,3 |
5,4 |
1,4 |
22 (11-31) |
0,0003d |
|
Thrombose de stent confirmée |
1,2 |
1,7 |
0,6 |
32 (8-49) |
0,0123d |
a : RRA = Réduction du Risque Absolu ; RRR= Réduction du Risque Relatif = (1- Hazard Ratio) x 100 %. Les valeurs avec une diminution relative négative du risque indiquent une augmentation relative du risque
b : à l’exclusion des IdM silencieux
c : IRG = Ischémie Récurrente grave, IR = Ischémie Récurrente, AIT = Accident Ischémique Transitoire, EAT = Evénement Athéro-Thrombotique. IdM Total inclut les IdM silencieux avec une date d’événement égale à la date de découverte.
d : valeur nominale de p ; toutes les autres valeurs sont formellement statistiquement significatives selon une analyse hiérarchisée prédéfinie.
Sous-étude génétique de PLATO
Le génotypage de 10 285 patients de l’étude PLATO pour les polymorphismes du CYP2C19 et de ABCB1 a permis d’obtenir des corrélations entre ces polymorphismes et les résultats de l’étude PLATO. La supériorité du ticagrélor par rapport au clopidogrel en termes de réduction des événements cardiovasculaires majeurs n’est pas significativement modifiée par le génotype des patients pour CYP2C19 et ABCB1. Comme dans la totalité de l’étude PLATO, la fréquence des saignements majeurs suivant la définition PLATO n’est pas différente entre le ticagrélor et le clopidogrel et ce quel que soit le génotype pour CYP2C19 ou ABCB1. Les saignements majeurs suivant la définition PLATO survenant chez des patients n’ayant pas eu de PAC est plus élevée dans le groupe ticagrélor que dans le groupe clopidogrel chez les patients ayant un ou deux allèles de perte de fonction du CYP2C19, mais similaire à celle du clopidogrel pour les patients n’ayant pas d’allèle de perte de fonction.
Critère composite d’efficacité et de tolérance
Un critère composite d’efficacité et de tolérance (décès CV, IdM, AVC ou saignements « Total Majeurs » selon la définition PLATO) indique le bénéfice clinique du ticagrélor comparativement au clopidogrel (RAR 1,4 %, RRR 8 %, HR 0,92 ; p=0,0257) pendant une période de 12 mois après les syndromes coronaires aigus.
Sécurité clinique
Sous-étude Holter :
Pour étudier la survenue de pauses ventriculaires et d’autres épisodes arythmiques pendant l’étude PLATO, les investigateurs ont pratiqué un enregistrement Holter chez une sous-population de près de 3000 patients, dont environ 2000 ont bénéficié d’enregistrements en phase aiguë de syndrome coronaire aigu et à un mois.
La variable principale d’intérêt était la survenue de pauses ventriculaires ≥ 3 secondes. Le nombre de patients présentant des pauses ventriculaires était plus important sous ticagrélor (6,0 %) que sous clopidogrel (3,5 %) pendant la phase aiguë, et atteignait respectivement 2,2 % et 1,6 % à un mois (voir rubrique 4.4). L’augmentation du nombre de pauses ventriculaires pendant la phase aiguë du syndrome coronaire aigu était plus prononcée chez les patients sous ticagrélor ayant des antécédents d’ICC (9,2 % versus 5,4 % des patients sans antécédent d’ICC ; pour les patients sous clopidogrel, 4,0 % de ceux ayant des antécédents d’ICC versus 3,6 % de ceux n’ayant pas d’antécédent d’ICC). Ce déséquilibre ne s’est pas produit à un mois : 2,0 % versus 2,1 % pour les patients sous ticagrélor respectivement avec et sans antécédents de ICC et 3,8 % versus 1,4 % sous clopidogrel. Il n’y a eu aucune conséquence clinique indésirable associée à ce déséquilibre (y compris la pose de pacemaker) dans cette population de patients.
Étude PEGASUS (antécédents d’infarctus du myocarde)
L’étude PEGASUS TIMI-54 était une étude évènementielle, randomisée, en double aveugle, contrôlée versus placebo, en groupes parallèles, internationale et multicentrique menée chez 21 162 patients dans le but d’évaluer la prévention des événements athérothrombotiques au moyen du ticagrélor administré à deux doses (90 mg deux fois par jour ou 60 mg deux fois par jour) en association avec de faibles doses d'AAS (75 à 150 mg) comparativement à l'AAS en monothérapie chez des patients ayant des antécédents d’infarctus du myocarde et présentant des facteurs additionnels de risque d’athérothrombose.
Les patients étaient éligibles pour participer s'ils étaient âgés de 50 ans ou plus, avaient des antécédents d’infarctus du myocarde (1 à 3 ans avant la randomisation) et présentaient au moins un des facteurs de risque d’athérothrombose suivants : âge ≥ 65 ans, diabète nécessitant un traitement, un second infarctus du myocarde précédent, signes de coronaropathie multitronculaire ou insuffisance rénale chronique non au stade terminal.
Les patients étaient inéligibles dans les cas suivants : traitement prévu par un antagoniste du récepteur P2Y12, du dipyridamole, du cilostazol ou par un anticoagulant durant la période d’étude, présence de troubles hémorragiques ou d’antécédents d’AVC ischémique ou de saignement intracrânien, tumeur du système nerveux central ou anomalie vasculaire intracrânienne, saignement gastro-intestinal au cours des 6 mois précédents ou intervention chirurgicale majeure au cours des 30 jours précédents.
Efficacité clinique
Figure 2 – Analyse du critère clinique composite principal de décès d’origine CV, d’infarctus du myocarde ou d’AVC (PEGASUS)

Tableau 5 – Analyse du critère principal et des critères secondaires d’efficacité (étude PEGASUS)
|
|
Ticagrélor 60 mg deux fois par jour + AAS N=7045 |
AAS en monothérapie N = 7067 |
Valeur de p |
|||
|
Caractéristique |
Patients avec événements |
KM % |
RR (IC 95 %) |
Patients avec événements |
KM % |
|
|
Critère principal |
||||||
|
Composite décès CV/IdM/AVC |
487 (6,9 %) |
7,8 % |
0,84 (0,74 - 0,95) |
578 (8,2 %) |
9,0 % |
0,0043 (s) |
|
Décès CV |
174 (2,5 %) |
2,9 % |
0,83 (0,68 - 1,01) |
210 (3,0 %) |
3,4 % |
0,0676 |
|
IdM |
285 (4,0 %) |
4,5 % |
0,84 (0,72 - 0,98) |
338 (4,8 %) |
5,2 % |
0,0314 |
|
AVC |
91 (1,3 %) |
1,5 % |
0,75 (0,57 - 0,98) |
122 (1,7 %) |
1,9 % |
0,0337 |
|
Critère secondaire |
||||||
|
Décès CV |
174 (2,5 %) |
2,9 % |
0,83 (0,68 - 1,01) |
210 (3,0 %) |
3,4 % |
- |
|
Mortalité toutes causes |
289 (4,1 %) |
4,7 % |
0,89 (0,76 - 1,04) |
326 (4,6 %) |
5,2 % |
- |
Les risques relatifs et les valeurs de p sont calculés séparément pour le ticagrélor vs AAS en monothérapie à partir d'un modèle à risques proportionnels de Cox avec le groupe de traitement à titre de seule variable explicative. KM % calculé à 36 mois.
Remarque : le nombre des premiers événements pour les composantes décès CV, infarctus du myocarde et AVC est le nombre réel des premiers événements pour chaque composante et ne s'ajoute pas au nombre d'événements dans le critère composite.
(s) Indique la significativité statistique.
IC = Intervalle de confiance ; CV = cardiovasculaire ; RR = Risque relatif ; KM = Kaplan-Meier ; IdM = Infarctus du myocarde ; N = Nombre de patients.
Le ticagrélor aux deux posologies de 60 mg deux fois par jour et de 90 mg deux fois par jour en association à l’AAS a été supérieur à l’AAS en monothérapie dans la prévention des événements athérothrombotiques (critère composite : décès d’origine cardiovasculaire, infarctus du myocarde et AVC), avec un effet constant du traitement sur la totalité de la période d’étude, donnant une RRR de 16 % et une RRA de 1,27 % pour le ticagrélor 60 mg, et une RRR de 15 % et une RRA de 1,19 % pour le ticagrélor 90 mg.
Bien que les profils d'efficacité du 90 mg et du 60 mg soient similaires, des données indiquent que le profil de tolérance et de sécurité de la plus faible dose est meilleur au regard du risque de saignements et de dyspnée. Par conséquent, TICAGRELOR KRKA 60 mg administré deux fois par jour en association à l’AAS est recommandé pour la prévention des événements athérothrombotiques (décès d’origine cardiovasculaire, infarctus du myocarde et AVC) chez les patients ayant des antécédents d’infarctus du myocarde à haut risque de développer un événement athérothrombotique.
Comparativement à l’AAS en monothérapie, l’administration de 60 mg de ticagrélor deux fois par jour a significativement réduit le critère composite principal de décès d’origine cardiovasculaire, d’infarctus du myocarde et d’AVC. Chacune des composantes a contribué à la réduction du critère composite principal (décès d’origine cardiovasculaire RRR 17 %, infarctus du myocarde RRR 16 % et AVC RRR 25 %).
Les RRR pour le critère composite de 1 à 360 jours (RRR 17 %) et à partir de 361 jours (RRR 16 %) ont été similaires. Les données sur l’efficacité et la sécurité d’emploi du ticagrélor au-delà d'une prolongation de 3 ans du traitement sont limitées.
Aucun bénéfice n’a été mis en évidence (aucune réduction du critère composite principal de décès d’origine cardiovasculaire, d’infarctus du myocarde et d’AVC, mais une augmentation des saignements majeurs) quand le ticagrélor 60 mg administré deux fois a été initié chez des patients cliniquement stables deux ans après leur infarctus du myocarde, ou plus d’un an après avoir arrêté leur précédent traitement par un inhibiteur du récepteur de l’ADP (voir aussi rubrique 4.2).
Sécurité clinique
Le taux d’arrêt du traitement avec le ticagrélor 60 mg en raison de saignements et de dyspnées était supérieur chez les patients âgés de plus de 75 ans (42 %) que chez les patients plus jeunes (entre 23 et 31 %), avec une différence versus placébo supérieure à 10 % (42 % vs 29 %) chez les patients âgés de plus de 75 ans.
Population pédiatrique
Dans une étude de phase III randomisée, en double aveugle et en groupes parallèles (HESTIA 3), 193 patients pédiatriques (âgés de 2 à moins de 18 ans) atteints de drépanocytose ont été randomisés pour recevoir soit un placebo, soit du ticagrélor à des doses de 15 mg à 45 mg deux fois par jour en fonction du poids corporel. A l'état d'équilibre le ticagrélor a montré une inhibition plaquettaire médiane de 35 % avant une nouvelle administration et de 56 % 2 heures après l'administration. Par rapport au placebo, il n'y avait pas de bénéfice thérapeutique du ticagrélor sur le taux de crises vaso-occlusives.
L’Agence Européenne des Médicaments a accordé une dérogation à l’obligation de soumettre les résultats d’études réalisées avec le ticagrélor dans tous les sous-groupes de la population pédiatrique dans le syndrome coronaire aigu (SCA) et les antécédents d’infarctus du myocarde (IdM) (voir rubrique 4.2 pour des informations sur l’utilisation pédiatrique).
5.2. Propriétés pharmacocinétiques
Absorption
L’absorption du ticagrélor est rapide, avec un tmax médian d’environ 1,5 heure. La formation du métabolite principal, l’AR-C124910XX (également actif), à partir du ticagrélor est rapide, avec un tmax médian d’environ 2,5 heures. Après administration orale d’une dose unique de 90 mg de ticagrélor chez des sujets sains à jeun, la Cmax est de 529 ng/ml et l’ASC de 3451 ng*h/ml. Les rapports métabolite / produit parent sont de 0,28 pour la Cmax et de 0,42 pour l’ASC. Les paramètres pharmacocinétiques du ticagrélor et de l’AR-C124910XX chez les patients ayant des antécédents d’infarctus du myocarde ont été généralement similaires à ceux déterminés dans la population SCA. Sur la base d'une analyse pharmacocinétique de population de l'étude PEGASUS, la Cmax médiane du ticagrélor a été de 391 ng/ml et l'ASC de 3 801 ng*h/ml à l’état d’équilibre pour le ticagrélor 60 mg. Pour le ticagrélor 90 mg, la Cmax a été de 627 ng/ml et l’ASC de 6255 ng*h/ml à l’état d’équilibre.
La biodisponibilité absolue moyenne du ticagrélor a été estimée à 36 %. L’ingestion d’un repas riche en lipides a conduit à une augmentation de 21 % de l’ASC du ticagrélor et à une diminution de 22 % de la Cmax du métabolite actif mais n’a eu d’effet ni sur la Cmax du ticagrélor, ni sur l’ASC du métabolite actif. Ces faibles modifications sont considérées comme ayant une signification clinique minime, ainsi le ticagrélor peut être administré avec ou sans aliments. Le ticagrélor et son métabolite actif sont des substrats de la P-gp.
Les comprimés de ticagrélor, lorsqu’ils sont écrasés et mélangés dans de l'eau, administrés par voie orale ou par une sonde naso-gastrique dans l'estomac, présentent une biodisponibilité comparable à celle des comprimés entiers en ce qui concerne l'ASC et la Cmax pour le ticagrélor et le métabolite actif. L'exposition initiale (0,5 et 1 heure après la prise) de comprimés de ticagrélor écrasés et mélangés dans de l'eau est augmentée par rapport aux comprimés entiers, avec un profil général identique de concentration par la suite (2 à 48 heures).
Distribution
Le volume de distribution à l’équilibre du ticagrélor est de 87,5 l. Le ticagrélor et son métabolite actif sont fortement fixés sur les protéines plasmatiques humaines (> 99,0 %).
Biotransformation
Le CYP3A4 est la principale isoenzyme responsable du métabolisme du ticagrélor et de la formation du métabolite actif, et leurs interactions avec les autres substrats du CYP3A vont de l’activation à l’inhibition.
Le métabolite principal du ticagrélor est l’AR-C124910XX. Il est également actif, comme le montre la fixation in vitro sur le P2Y12, récepteur plaquettaire à l’ADP. L’exposition systémique au métabolite actif atteint environ 30 à 40 % celle du ticagrélor.
Élimination
La voie d’élimination principale du ticagrélor est le métabolisme hépatique. Après administration de ticagrélor radiomarqué, la récupération moyenne de la radioactivité est d’environ 84 % (57,8 % dans les fèces, 26,5 % dans l’urine). Les quantités de ticagrélor et de métabolite actif récupérées dans l’urine ont été inférieures à 1 % de la dose administrée. La voie d’élimination principale du métabolite actif est plus probablement la sécrétion biliaire. Le t1/2 moyen a été d’environ 7 heures pour le ticagrélor et de 8,5 heures pour le métabolite actif.
Populations particulières
Sujets âgés
Une exposition plus élevée au ticagrélor (environ 25 % pour la Cmax et l’ASC) et au métabolite actif a été observée chez les patients âgés (≥ 75 ans) présentant un SCA par rapport aux patients plus jeunes grâce à l’analyse pharmacocinétique de la population. Ces différences ne sont pas considérées comme cliniquement significatives (voir rubrique 4.2).
Population pédiatrique
Des données limitées sont disponibles chez les enfants atteints de drépanocytose (voir rubriques 4.2 et 5.1).
Dans l'étude HESTIA 3, des patients âgés de 2 à moins de 18 ans pesant ≥ 12 à ≤ 24 kg, > 24 à ≤ 48 kg et > 48 kg ont reçu du ticagrélor sous forme de comprimés pédiatriques dispersibles de 15 mg aux doses respectives de 15, 30 et 45 mg deux fois par jour. Sur la base d'une analyse pharmacocinétique de population, l'ASC moyenne variait de 1095 ng*h/mL à 1458 ng*h/mL et la Cmax moyenne variait de 143 ng/mL à 206 ng/mL à l'état d'équilibre.
Sexe
Une exposition plus élevée au ticagrélor et au métabolite actif a été observée chez la femme par rapport à l’homme. Les différences ne sont pas considérées comme cliniquement significatives.
Insuffisance rénale
L’exposition au ticagrélor a été inférieure d’environ 20 % et l’exposition à son métabolite actif a été supérieure d’environ 17 % chez les patients ayant une insuffisance rénale sévère (clairance de la créatinine < 30 ml/min) comparativement aux patients ayant une fonction rénale normale.
Chez les patients sous hémodialyse avec une insuffisance rénale au stade terminale, l’ASC et la Cmax du ticagrélor 90 mg administré sur une journée sans dialyse étaient de 38 % et 51 % plus élevées par rapport aux sujets ayant une fonction rénale normale. Une augmentation similaire de l’exposition était observée quand le ticagrélor était administré immédiatement avant la dialyse (49 % et 61 % respectivement) montrant que le ticagrélor n’est pas dialysable. L’exposition du métabolite actif a augmenté dans une moindre mesure (ASC 13-14 % et Cmax 17-36 %). L’effet inhibiteur de l’agrégation plaquettaire (IPA) du ticagrélor était indépendant de la dialyse chez les patients présentant une insuffisance rénale au stade terminal et était similaire à celui des patients présentant une fonction rénale normale (voir rubrique 4.2).
Insuffisance hépatique
La Cmax et l’ASC du ticagrélor ont été supérieures de respectivement 12 % et 23 % chez les patients ayant une insuffisance hépatique légère comparativement aux sujets sains de mêmes caractéristiques, mais l’inhibition moyenne de l’agrégation plaquettaire par le ticagrélor a été similaire entre les deux groupes. Aucune adaptation de la posologie n’est nécessaire chez les patients présentant une insuffisance hépatique légère.
Le ticagrélor n’a pas été étudié chez les patients atteints d’insuffisance hépatique sévère et il n’existe aucune information pharmacocinétique chez les patients atteints d’insuffisance hépatique modérée. Chez les patients qui présentaient une élévation modérée à sévère d’un ou plusieurs paramètres fonctionnels hépatiques à l'instauration du traitement, les concentrations plasmatiques du ticagrélor ont été en moyenne similaires ou légèrement plus élevées comparativement aux patients qui ne présentaient pas ces élévations initiales. Aucune adaptation posologique n’est recommandée chez les patients présentant une insuffisance hépatique modérée (voir rubriques 4.2 et 4.4).
Origine ethnique
Les patients d’origine asiatique ont une biodisponibilité supérieure de 39 % par rapport aux patients caucasiens. Les patients auto-identifiés comme noirs ont une biodisponibilité du ticagrélor de 18 % plus faible lorsque comparé aux patients caucasiens. Dans les études de pharmacologie clinique, l’exposition (Cmax et ASC) au ticagrélor chez les sujets japonais a été supérieure d’environ 40 % (20 % après ajustement en fonction du poids corporel) à celle des caucasiens. L’exposition a été similaire entre des patients auto-identifiés comme hispaniques ou latinos et des patients caucasiens.
5.3. Données de sécurité préclinique
Une irritation gastro-intestinale a été observée chez plusieurs espèces animales à des niveaux d’exposition cliniquement relevant (voir rubrique 4.8).
Chez les rats femelles, le ticagrélor à forte dose a montré une augmentation d’incidence des tumeurs utérines (adénocarcinomes) et une incidence augmentée des adénomes hépatiques. Le mécanisme qui explique ces tumeurs utérines est vraisemblablement un dérèglement hormonal qui peut aboutir à des tumeurs chez le rat. Le mécanisme expliquant les adénomes hépatiques peut vraisemblablement s’expliquer par l’induction d’une enzyme hépatique spécifique aux rongeurs. Par conséquent, les résultats de carcinogénicité ne sont pas considérés comme applicables à l’homme.
Chez le rat, des anomalies mineures du développement ont été observées pour une exposition maternelle à des doses toxiques (marge de sécurité de 5.1). Chez le lapin, un léger retard de la maturation hépatique et dans le développement squelettique a été observé chez les fœtus de femelles recevant une forte dose sans signe de toxicité maternelle (marge de sécurité de 4.5).
Les études chez le rat et le lapin ont montré une toxicité sur la reproduction, avec une prise de poids maternelle légère, une viabilité néonatale retardée et un faible poids de naissance avec un retard de croissance. Le ticagrélor provoque des cycles irréguliers (surtout allongés) chez les rats femelles mais n’affecte pas la fertilité globale des rats mâles et femelles. Les études pharmacocinétiques réalisées avec du ticagrélor radiomarqué ont montré que le produit et ses métabolites sont excrétés dans le lait des rates (voir rubrique 4.6).
Cellulose microcristalline (E460)
Hydrogénophosphate de calcium dihydraté (E341)
Hypromellose 2910 (E464)
Croscarmellose sodique (E468)
Stéarate de magnésium (E470b)
Pelliculage :
Hypromellose (E464)
Dioxyde de titane (E171)
Talc (E553b)
Propylène glycol (E1520)
Oxyde de fer jaune (E172)
3 ans.
6.4. Précautions particulières de conservation
Ce médicament ne nécessite pas de précautions particulières de conservation.
6.5. Nature et contenu de l'emballage extérieur
Plaquettes (PVC/PVDC/Aluminium) de 14, 56, 60, 100 ou 168 comprimés pelliculés, dans une boîte.
Toutes les présentations peuvent ne pas être commercialisées.
6.6. Précautions particulières d’élimination et de manipulation
Tout médicament non utilisé ou déchet doit être éliminé conformément à la réglementation en vigueur.
Pour les patients qui ne sont pas capables d’avaler le(s) comprimé(s) en entier, les comprimés peuvent être écrasés en une poudre fine et mélangés dans un demi-verre d’eau et bus immédiatement. Le verre doit être rincé avec un peu plus d’un demi-verre d’eau et le contenu doit être bu. Le mélange peut également être administré via une sonde naso-gastrique (CH8 ou plus). Il est important de nettoyer la sonde naso-gastrique en y faisant passer de l’eau après administration du mélange.
7. TITULAIRE DE L’AUTORISATION DE MISE SUR LE MARCHE
MARJEKA CESTA 6
8501 NOVO MESTO
SLOVENIE
8. NUMERO(S) D’AUTORISATION DE MISE SUR LE MARCHE
· 34009 302 205 8 0 : 60 comprimés sous plaquettes (PVC/PVDC/Aluminium).
9. DATE DE PREMIERE AUTORISATION/DE RENOUVELLEMENT DE L’AUTORISATION
[à compléter ultérieurement par le titulaire]
Date de première autorisation:{JJ mois AAAA}
10. DATE DE MISE A JOUR DU TEXTE
[à compléter ultérieurement par le titulaire]
{JJ mois AAAA}
Sans objet.
12. INSTRUCTIONS POUR LA PREPARATION DES RADIOPHARMACEUTIQUES
Liste I
ANSM - Mis à jour le : 25/09/2025
TICAGRELOR KRKA 90 mg, comprimé pelliculé
Ticagrélor
· Gardez cette notice. Vous pourriez avoir besoin de la relire.
· Si vous avez d’autres questions, interrogez votre médecin ou votre pharmacien.
· Ce médicament vous a été personnellement prescrit. Ne le donnez pas à d’autres personnes. Il pourrait leur être nocif, même si les signes de leur maladie sont identiques aux vôtres.
· Si vous ressentez un quelconque effet indésirable, parlez-en à votre médecin ou votre pharmacien. Ceci s’applique aussi à tout effet indésirable qui ne serait pas mentionné dans cette notice. Voir rubrique 4.
1. Qu'est-ce que TICAGRELOR KRKA 90 mg, comprimé pelliculé et dans quels cas est-il utilisé ?
2. Quelles sont les informations à connaître avant de prendre TICAGRELOR KRKA 90 mg, comprimé pelliculé ?
3. Comment prendre TICAGRELOR KRKA 90 mg, comprimé pelliculé ?
4. Quels sont les effets indésirables éventuels ?
5. Comment conserver TICAGRELOR KRKA 90 mg, comprimé pelliculé ?
6. Contenu de l’emballage et autres informations.
1. QU’EST-CE QUE TICAGRELOR KRKA 90 mg, comprimé pelliculé ET DANS QUELS CAS EST-IL UTILISE ?
Classe pharmacothérapeutique : inhibiteurs de l’agrégation plaquettaire autres que l’héparine - code ATC : B01AC24.
Qu’est-ce que TICAGRELOR KRKA
TICAGRELOR KRKA contient une substance active appelée ticagrélor. Elle appartient à un groupe de médicaments appelés « médicaments antiplaquettaires ».
Dans quel cas est-il utilisé ?
TICAGRELOR KRKA en association avec l’acide acétylsalicylique (un autre agent antiplaquettaire) doit être utilisé chez les adultes uniquement. Le médecin vous a prescrit ce médicament parce que vous avez eu :
· Une crise cardiaque, ou
· un angor instable (angine de poitrine ou douleur thoracique mal contrôlée).
Il réduit pour vous les risques d’avoir une nouvelle crise cardiaque, un accident vasculaire cérébral ou de décéder d’une maladie en rapport avec votre cœur ou vos vaisseaux sanguins.
Comment agit TICAGRELOR KRKA
TICAGRELOR KRKA agit sur des cellules appelées « plaquettes » (aussi appelées thrombocytes). Ces très petites cellules du sang aident à arrêter les saignements en s’agrégeant entre elles afin de colmater les petits trous dans les vaisseaux sanguins lorsqu’ils sont coupés ou endommagés.
Toutefois, les plaquettes peuvent également former des caillots à l'intérieur de vaisseaux sanguins malades dans le cœur et le cerveau. Cela peut être très dangereux car :
· le caillot peut complètement bloquer la circulation du sang - cela peut provoquer une crise cardiaque (infarctus du myocarde) ou une attaque cérébrale, ou
· le caillot peut partiellement bloquer la circulation du sang dans une artère du cœur - cela réduit le flux sanguin vers le cœur, ce qui peut être à l’origine d’une douleur thoracique intermittente (appelée « angor instable »).
TICAGRELOR KRKA agit en empêchant l'agrégation des plaquettes. Cela diminue le risque de formation d’un caillot sanguin susceptible de réduire le flux sanguin.
2. QUELLES SONT LES INFORMATIONS A CONNAITRE AVANT DE PRENDRE TICAGRELOR KRKA 90 mg, comprimé pelliculé ?
Ne prenez jamais TICAGRELOR KRKA 90 mg, comprimé pelliculé
· si vous êtes allergique au ticagrélor ou à l’un des autres composants contenus dans ce médicament, mentionnés dans la rubrique 6.
· vous saignez maintenant.
· si vous avez eu un accident vasculaire cérébral lié à un saignement dans le cerveau.
· si vous avez une insuffisance hépatique sévère.
· si vous prenez l’un des médicaments suivants :
o kétoconazole (utilisé pour traiter des infections fongiques),
o clarithromycine (utilisée pour traiter des infections bactériennes),
o nefazodone (un antidépresseur),
o ritonavir et atazanavir (utilisés pour traiter une infection à VIH et le SIDA).
Ne prenez jamais TICAGRELOR KRKA si vous correspondez à une de ces situations. En cas de doute, consultez votre médecin ou votre pharmacien avant de prendre ce médicament.
Avertissements et précautions
Adressez-vous à votre médecin ou à votre pharmacien avant de prendre TICAGRELOR KRKA 90 mg, comprimé pelliculé si :
· Vous présentez un risque élevé de saignement en raison de :
o une blessure grave récente
o une intervention chirurgicale récente (y compris dentaire, adressez-vous à votre dentiste si cela s’applique à vous)
o une maladie qui affecte la coagulation du sang
o un saignement gastrique ou intestinal récent (lié à un ulcère gastrique ou des « polypes » du côlon).
· Vous devez subir une intervention chirurgicale (y compris dentaire) pendant votre traitement par TICAGRELOR KRKA. Comme il y a un risque accru de saignement, votre médecin pourra vous demander d’arrêter ce médicament 5 jours avant l’intervention chirurgicale.
· Votre fréquence cardiaque est anormalement basse (généralement moins de 60 battements par minute) et vous n’êtes pas encore équipé d’un appareil stimulant votre rythme cardiaque (pacemaker).
· Vous avez de l’asthme ou d’autres problèmes pulmonaires ou des difficultés respiratoires.
· Vous développez des cycles respiratoires irréguliers à type d’accélération, de ralentissement ou de courtes pauses respiratoires. Votre médecin décidera si vous avez besoin d'une évaluation plus approfondie.
· Vous avez des problèmes avec votre foie quels qu’ils soient, ou avez souffert d’une maladie qui a pu affecter votre foie.
· Vous avez fait un test sanguin qui montre des quantités d’acide urique plus importantes qu’habituellement.
Si une de ces situations vous concerne (ou en cas de doute), consultez votre médecin ou votre pharmacien avant de prendre ce médicament.
Si vous prenez à la fois du TICAGRELOR KRKA et de l’héparine :
· Votre médecin peut demander un échantillon de votre sang pour des tests de diagnostic s’il soupçonne la présence d’un trouble rare des plaquettes provoqué par l’héparine. Il est important d'informer votre médecin que vous prenez à la fois TICAGRELOR KRKA et de l'héparine, car TICAGRELOR KRKA peut affecter le test diagnostic.
Enfants et adolescents
TICAGRELOR KRKA n’est pas recommandé chez les enfants et les adolescents de moins de 18 ans.
Autres médicaments et TICAGRELOR KRKA 90 mg, comprimé pelliculé
Informez votre médecin ou pharmacien si vous prenez, avez récemment pris ou pourriez prendre tout autre médicament. En effet, TICAGRELOR KRKA peut interférer sur le mode d’action de certains médicaments et, réciproquement, certains médicaments peuvent avoir un effet sur TICAGRELOR KRKA.
Signalez à votre médecin ou pharmacien si vous prenez un des médicaments suivants :
· la rosuvastatine (un médicament pour traiter un cholestérol élevé), ou plus de 40 mg par jour de simvastatine ou de lovastatine (médicaments utilisés pour traiter un cholestérol élevé),
· la rifampicine (un antibiotique),
· la phénytoïne, la carbamazépine et le phénobarbital (utilisés pour contrôler les convulsions),
· la digoxine (utilisée pour traiter l’insuffisance cardiaque),
· la ciclosporine (utilisée pour diminuer les défenses de votre corps),
· la quinidine et le diltiazem (utilisés pour traiter les rythmes cardiaques anormaux),
· les bêtabloquants et le vérapamil (utilisés pour traiter la pression artérielle élevée),
· la morphine et d’autres opioïdes (utilisés pour traiter la douleur intense).
En particulier, si vous avez pris un des médicaments suivants qui augmentent le risque de saignement, signalez-le à votre médecin ou votre pharmacien :
· « anticoagulants oraux » (médicaments pour « fluidifier » le sang), notamment la warfarine.
· médicaments anti-inflammatoires non stéroïdiens (abrégés par AINS) souvent pris en tant qu’antidouleur comme l’ibuprofène ou le naproxène.
· inhibiteurs sélectifs de la recapture de sérotonine (abrégés par ISRS) pris comme antidépresseurs tels que la paroxétine, la sertraline ou le citalopram.
· d’autres médicaments tels que le kétoconazole (utilisé pour traiter les infections fongiques), la clarithromycine (utilisée pour traiter les infections bactériennes), la néfazodone (un antidépresseur), le ritonavir et l’atazanavir (utilisés pour traiter les infections à VIH et le SIDA), le cisapride (utilisé pour traiter les brûlures d’estomac), les alcaloïdes de l’ergot de seigle (utilisés pour traiter les migraines et les maux de tête).
Signalez également à votre médecin qu’en raison de votre prise de TICAGRELOR KRKA, vous pouvez avoir une augmentation du risque de saignement s’il vous donne des fibrinolytiques, souvent appelés « dissolvants » de caillots, tels que la streptokinase ou l’alteplase.
TICAGRELOR KRKA 90 mg, comprimé pelliculé avec des aliments, boissons et de l’alcool
Sans objet.
Il est déconseillé de prendre TICAGRELOR KRKA si vous êtes enceinte ou susceptible de le devenir. Les femmes devront utiliser un contraceptif approprié pour éviter une grossesse pendant qu’elles prennent ce médicament.
Si vous allaitez, signalez-le à votre médecin avant de prendre ce médicament. Votre médecin discutera avec vous des bénéfices et des risques de la prise de TICAGRELOR KRKA pendant cette période.
Si vous êtes enceinte ou que vous allaitez, si vous pensez être enceinte ou planifiez une grossesse, demandez conseil à votre médecin ou pharmacien avant de prendre ce médicament.
Conduite de véhicules et utilisation de machines
TICAGRELOR KRKA n’est pas susceptible d’altérer votre aptitude à conduire des véhicules ou à utiliser des machines. Si vous ressentez des sensations vertigineuses ou si vous vous sentez confus pendant la prise de ce médicament, soyez prudent lors de la conduite ou l'utilisation de machines.
TICAGRELOR KRKA 90 mg, comprimé pelliculé contient du sodium
Ce médicament contient moins de 1 mmol (23 mg) de sodium par comprimé, c’est-à-dire qu’il est essentiellement « sans sodium ».
3. COMMENT PRENDRE TICAGRELOR KRKA 90 mg, comprimé pelliculé ?
Quantité à prendre
· La dose initiale est de deux comprimés en même temps (dose de charge de 180 mg). Cette dose vous sera généralement donnée à l’hôpital.
· Après cette dose initiale, la dose habituelle est d’un comprimé de 90 mg deux fois par jour jusqu’à 12 mois à moins que votre médecin n’en décide autrement.
· Prenez ce médicament à peu près au même moment chaque jour (par exemple un comprimé le matin et un le soir).
Autres médicaments pour la coagulation sanguine et TICAGRELOR KRKA 90 mg, comprimé pelliculé
Votre médecin vous prescrira aussi habituellement de l’acide acétylsalicylique. C’est une substance présente dans de nombreux médicaments pour prévenir la coagulation sanguine. Votre médecin vous indiquera combien en prendre (généralement entre 75-150 mg par jour).
Comment prendre TICAGRELOR KRKA 90 mg, comprimé pelliculé
· Vous pouvez prendre le comprimé avec ou sans nourriture.
· Vous pouvez vérifier le moment de votre dernière prise du comprimé de TICAGRELOR KRKA grâce aux jours indiqués sur la plaquette. La prise du matin est symbolisée par un soleil et celle du soir par une lune, pour vous permettre de voir si vous avez bien pris la dose.
Si vous avez des difficultés à avaler le comprimé
Si vous avez des difficultés à avaler le comprimé, vous pouvez les écraser et les mélanger avec de l'eau comme suit :
· Ecraser le comprimé en une poudre fine.
· Verser la poudre dans un demi-verre d'eau.
· Remuer et boire immédiatement.
· Pour s'assurer qu'il n'y a pas de résidus de médicament, rincer le verre vide avec un autre demi- verre d'eau et le boire.
Si vous êtes à l’hôpital, ce médicament peut vous être donné mélangé avec de l’eau et administré à travers un tube passant par le nez (sonde naso-gastrique).
Si vous avez pris plus de TICAGRELOR KRKA 90 mg, comprimé pelliculé que vous n’auriez dû
Si vous avez pris plus de TICAGRELOR KRKA que vous n’auriez dû, signalez-le immédiatement à un médecin ou rendez-vous à l’hôpital, en emmenant la boîte de médicaments avec vous. En effet, vous vous trouvez alors devant un risque plus élevé de saignement.
Si vous oubliez de prendre TICAGRELOR KRKA 90 mg, comprimé pelliculé
· Si vous oubliez de prendre une dose, il suffit de prendre la dose suivante normalement.
· Ne prenez pas de dose double (deux doses à la même heure) pour compenser la dose que vous avez oubliée de prendre.
Si vous arrêtez de prendre TICAGRELOR KRKA 90 mg, comprimé pelliculé
N’arrêtez pas TICAGRELOR KRKA avant d’en avoir parlé au préalable avec votre médecin. Continuez à prendre ce médicament de façon régulière tant que le médecin vous le prescrit. Si vous arrêtez de prendre TICAGRELOR KRKA, cela peut augmenter vos risques de faire une autre crise cardiaque ou un accident vasculaire cérébral ou de mourir à cause d’une maladie cardiovasculaire.
Si vous avez d’autres questions sur l’utilisation de ce médicament, demandez plus d’informations à votre médecin ou à votre pharmacien.
4. QUELS SONT LES EFFETS INDESIRABLES EVENTUELS ?
TICAGRELOR KRKA affecte la coagulation du sang, la plupart des effets indésirables sont donc en relation avec des saignements. Les saignements peuvent survenir dans n’importe quelle partie du corps. Certains saignements sont fréquents (comme les ecchymoses (« bleus ») et les saignements de nez). Les saignements sévères sont peu fréquents mais peuvent présenter un risque vital.
Consultez immédiatement un médecin si vous remarquez un des symptômes suivants car il est possible que vous ayez alors besoin d’un traitement médical en urgence :
· Un saignement dans le cerveau ou dans le crâne est un effet indésirable peu fréquent, et peut causer des signes d’accident vasculaire cérébral tels que :
o apparition brutale d’un engourdissement ou d’une faiblesse du bras, de la jambe ou du visage, notamment si les symptômes ne sont présents que sur un côté du corps,
o apparition brutale d’une confusion, de difficultés à parler ou à comprendre les autres,
o apparition brutale de difficultés à marcher ou perte d’équilibre ou de coordination,
o apparition brutale de vertiges ou de maux de tête intenses sans cause connue.
· Les signes de saignement peuvent se présenter comme tels :
o saignement sévère ou que vous ne pouvez pas contrôler,
o saignement inattendu, ou saignement qui dure longtemps,
o coloration rose, rouge ou marron de vos urines,
o vomissement de sang rouge ou si votre vomi ressemble à du « marc de café »,
o selles rouges ou noires (comme du goudron),
o toux ou vomissement de caillots sanguins.
· Evanouissement (syncope)
o une perte de conscience temporaire en raison d’une diminution soudaine de débit sanguin dans le cerveau (fréquent)
· Signes de problème de coagulation sanguine appelé purpura thrombotique thrombocytopénique (PTT), tels que :
o une fièvre et des taches pourpres (appelées purpura) sur la peau ou dans la bouche, avec ou sans jaunissement de la peau ou des yeux (jaunisse), une fatigue extrême inexpliquée ou une confusion
Si vous remarquez un des symptômes suivants, discutez-en avec votre médecin :
· Sensation d’essoufflement – ceci est très fréquent. Ce symptôme peut être dû à votre maladie du cœur ou à une autre cause ou être un effet indésirable de TICAGRELOR KRKA. Les essoufflements liés au traitement par TICAGRELOR KRKA sont généralement d’intensité légère et sont caractérisés par un besoin soudain et inattendu d’inspirer de l’air, survenant habituellement au repos ; ils peuvent apparaitre dans les premières semaines de traitement et peuvent disparaitre la plupart du temps. Si votre sensation d’essoufflement s’aggrave ou persiste longtemps, signalez-le à votre médecin. Il décidera si vous avez besoin d’un traitement ou si des examens complémentaires sont nécessaires.
Autres effets indésirables éventuels
Très fréquents (peuvent toucher plus d’1 utilisateur sur 10)
· Taux élevé d’acide urique dans votre sang (comme observé lors des tests)
· Saignements causés par des troubles sanguins
Fréquents (peuvent toucher jusqu’à 1 utilisateur sur 10)
· Tendance aux ecchymoses (« bleus »)
· Maux de tête
· Sensation vertigineuse ou de rotation de la pièce
· Diarrhées ou indigestion
· Nausées
· Constipation
· Eruption cutanée
· Démangeaisons
· Douleurs intenses et gonflements de vos articulations – ces signes sont les symptômes de la goutte
· Sensation vertigineuse ou de tête légère, vision trouble – ces signes sont les symptômes d’une faible tension artérielle
· Saignement du nez
· Saignement qui est plus abondant que la normale après une chirurgie ou au niveau d’une coupure ou d’une plaie (par exemple, pendant le rasage)
· Saignement de la paroi de votre estomac (ulcère)
· Saignement des gencives
Peu fréquents (peuvent toucher jusqu’à 1 utilisateur sur 100)
· Réaction allergique – une éruption cutanée, une démangeaison, un gonflement du visage ou un gonflement des lèvres/de la langue peuvent être des signes d’une réaction allergique
· Confusion
· Troubles visuels liés à la présence de sang dans vos yeux
· Saignement vaginal plus abondant, ou qui apparaît à d’autres moments que pendant votre cycle normal (menstruel) de saignement
· Saignements dans vos articulations et vos muscles pouvant causer un gonflement douloureux
· Saignement dans vos oreilles
· Saignement interne, ceci peut causer des étourdissements ou vous donner la sensation d’avoir la tête légère.
Fréquence indéterminée (ne peut être estimée sur la base des données disponibles)
· Fréquence cardiaque anormalement basse (généralement inférieure à 60 battements par minute)
Déclaration des effets secondaires
Si vous ressentez un quelconque effet indésirable, parlez-en à votre médecin ou votre pharmacien. Ceci s’applique aussi à tout effet indésirable qui ne serait pas mentionné dans cette notice. Vous pouvez également déclarer les effets indésirables directement via le système national de déclaration : Agence nationale de sécurité du médicament et des produits de santé (ANSM) et réseau des Centres Régionaux de Pharmacovigilance - Site internet: https://signalement.social-sante.gouv.fr/
En signalant les effets indésirables, vous contribuez à fournir davantage d’informations sur la sécurité du médicament.
5. COMMENT CONSERVER TICAGRELOR KRKA 90 mg, comprimé pelliculé?
Tenir ce médicament hors de la vue et de la portée des enfants.
N’utilisez pas ce médicament après la date de péremption indiquée sur l’emballage après EXP. La date de péremption fait référence au dernier jour de ce mois.
Ce médicament ne nécessite pas de précautions particulières de conservation.
Ne jetez aucun médicament au tout-à-l’égout ou avec les ordures ménagères. Demandez à votre pharmacien d’éliminer les médicaments que vous n’utilisez plus. Ces mesures contribueront à protéger l’environnement.
6. CONTENU DE L’EMBALLAGE ET AUTRES INFORMATIONS
Ce que contient TICAGRELOR KRKA 90 mg, comprimé pelliculé
· La substance active est :
Ticagrélor........................................................................................................................ 90 mg
Pour un comprimé pelliculé.
· Les autres composants sont :
Noyau du comprimé : cellulose microcristalline (E460), hydrogénophosphate de calcium dihydraté (E341), hypromellose 2910 (E464), croscarmellose sodique (E468), stéarate de magnésium (E470b).
Pelliculage : hypromellose (E464), dioxyde de titane (E171), talc (E553b), propylène glycol (E1520), oxyde de fer jaune (E172).
Voir la rubrique 2. « TICAGRELOR KRKA 90 mg, comprimé pelliculé contient du sodium ».
Qu’est-ce que TICAGRELOR KRKA 90 mg, comprimé pelliculé et contenu de l’emballage extérieur
Comprimés pelliculés ronds, légèrement jaune brunâtre, biconvexes, portant la mention « 90 » sur une face.
Dimensions du comprimé : environ 9 mm de diamètre.
TICAGRELOR KRKA 90 mg, comprimé pelliculé est disponible en boîtes contenant 14, 56, 60, 100 ou 168 comprimés pelliculés sous plaquettes.
Toutes les présentations peuvent ne pas être commercialisées.
Titulaire de l’autorisation de mise sur le marché
MARJEKA CESTA 6
8501 NOVO MESTO
SLOVENIE
Exploitant de l’autorisation de mise sur le marché
12-14 RUE DE L’EGLISE
75015 PARIS
MARJEKA CESTA 6
8501 NOVO MESTO
SLOVENIE
Noms du médicament dans les Etats membres de l'Espace Economique Européen
Ce médicament est autorisé dans les Etats membres de l'Espace Economique Européen et au Royaume-Uni (Irlande du Nord) sous les noms suivants : Conformément à la réglementation en vigueur.
[À compléter ultérieurement par le titulaire]
La dernière date à laquelle cette notice a été révisée est :
[à compléter ultérieurement par le titulaire]
{mois AAAA}.
Des informations détaillées sur ce médicament sont disponibles sur le site Internet de l’ANSM (France).