Dernière mise à jour le 28/04/2026
DESOBEL 150 microgrammes/20 microgrammes, comprimé
Indications thérapeutiques
Classe pharmacothérapeutique - code ATC : G03AB05. CONTRACEPTIF ESTROPROGESTATIF.
(G : Système génito-urinaire et hormones sexuelles)
DESOBEL, comprimé est un contraceptif hormonal oral.
Il empêche l’ovulation et est préconisé dans le but d’éviter une grossesse.
Chaque comprimé contient deux substances actives (éthinylestradiol et désogestrel). Les contraceptifs oraux qui contiennent deux substances à activité hormonale sont appelés contraceptifs oraux "combinés".
Présentations
> 3 plaquette(s) PVC-Aluminium de 21 comprimé(s)
Code CIP : 397 206-3 ou 34009 397 206 3 0
Déclaration de commercialisation : 22/01/2010
Cette présentation n'est pas agréée aux collectivités
Documents de bon usage du médicament
- Contraception chez la femme en post-partum
Auteur : Haute autorité de santé
Type : Fiche mémo
Date de mise à jour :Septembre 2019
- Contraception d’urgence
Auteur : Haute autorité de santé
Type : Fiche mémo
Date de mise à jour :Septembre 2019
- Contraception chez l’homme
Auteur : Haute autorité de santé
Type : Fiche mémo
Date de mise à jour :Septembre 2019
- Stérilisation à visée contraceptive chez l’homme et chez la femme
Auteur : Haute autorité de santé
Type : Fiche mémo
Date de mise à jour :Septembre 2019
- Contraception chez la femme adulte et de l'adolescente en âge de procréer (hors post-partum et post-IVG)
Auteur : Haute autorité de santé
Type : Fiche mémo
Date de mise à jour :Septembre 2019
- Contraception chez la femme à risque cardio-vasculaire
Auteur : Haute autorité de santé
Type : Fiche mémo
Date de mise à jour :Septembre 2019
- Contraception : prescriptions et conseils aux femmes
Auteur : Haute autorité de santé
Type : Fiche mémo
Date de mise à jour :Septembre 2019
- Contraception hormonale orale : dispensation en officine
Auteur : Haute autorité de santé
Type : Fiche mémo
Date de mise à jour :Septembre 2019
- Contraception d’urgence : dispensation en officine
Auteur : Haute autorité de santé
Type : Fiche mémo
Date de mise à jour :Septembre 2019
- Contraception estroprogestative transdermique ou vaginale : dispensation en officine
Auteur : Haute autorité de santé
Type : Fiche mémo
Date de mise à jour :Septembre 2019
- Contraception chez la femme après une interruption volontaire de grossesse (IVG)
Auteur : Haute autorité de santé
Type : Fiche mémo
Date de mise à jour :Septembre 2019
- Méthodes contraceptives : Focus sur les méthodes les plus efficaces disponibles
Auteur : Haute autorité de santé
Type : Evaluation des technologies de santé
Date de mise à jour :Novembre 2017
- Contraceptifs oraux estroprogestatifs : préférez les «pilules» de 1re ou 2e génération
Auteur : Haute autorité de santé
Type : Fiche Bon Usage du Médicament
Date de mise à jour :Janvier 2013
Service médical rendu (SMR)
Les libellés affichés ci-dessous ne sont que des résumés ou extraits issus des avis rendus par la Commission de la Transparence. Seul l'avis complet de la Commission de la Transparence fait référence.
Cet avis est consultable à partir du lien `Avis du jj/mm/aaaa` ou encore sur demande auprès de la HAS (plus d'informations dans l'aide). Les avis et synthèses d'avis contiennent un paragraphe sur la place du médicament dans la stratégie thérapeutique.
| Valeur du SMR | Avis | Motif de l'évaluation | Résumé de l'avis |
|---|---|---|---|
| Insuffisant | Avis du 19/09/2012 | Réévaluation SMR | En 2012, la Commission de la transparence prenant en compte d'une part le surrisque d'événements thrombo-emboliques veineux et d'autre part l'absence d'avantage démontré en termes de tolérance clinique pour les femmes exposées aux contraceptifs oraux de 3ème génération par rapport aux contraceptifs oraux de 2ème ou de 1ère génération, considère que le service médical rendu par les spécialités DESOBEL 150 microgrammes/20 microgrammes, DESOBEL 150 microgrammes/30 microgrammes, DESOGESTREL ETHINYLESTRADIOL ELKA 150 µg/20 µg, DESOGESTREL ETHINYLESTRADIOL ELKA 150 µg/30 µg, DESOGESTREL ETHINYLESTRADIOL QUILL 150 µg/20 µg et DESOGESTREL ETHINYLESTRADIOL QUILL 150 µg/30 µg doit être qualifié d'insuffisant pour une prise en charge par la solidarité nationale. |
| Important | Avis du 16/12/2009 | Inscription (CT) | Le service médical rendu par cette spécialité est important. |
Amélioration du service médical rendu (ASMR)
Les libellés affichés ci-dessous ne sont que des résumés ou extraits issus des avis rendus par la Commission de la Transparence. Seul l'avis complet de la Commission de la Transparence fait référence.
Cet avis est consultable à partir du lien `Avis du jj/mm/aaaa` ou encore sur demande auprés de la HAS (plus d'informations dans l'aide). Les avis et synthéses d'avis contiennent un paragraphe sur la place du médicament dans la stratégie thérapeutique.
| Valeur de l'ASMR | Avis | Motif de l'évaluation | Résumé de l'avis |
|---|---|---|---|
| V (Inexistant) | Avis du 16/12/2009 | Inscription (CT) | Compte tenu de l'augmentation du risque de survenue d'accidents thromboemboliques veineux et d'AVC ischémique associée aux contraceptifs oraux de 3ème génération, de l'absence d'étude prospective comparative permettant d'évaluer le bénéfice apporté par les contraceptifs oraux de 3ème génération versus les contraceptifs oraux de 2ème génération, la Commission de la transparence considère que les spécialités DESOBEL 150 µg/30 µg et DESOBEL 150 µg/20 µg n'apportent pas d'amélioration du service médical rendu (ASMR V) par rapport aux contraceptifs oraux de 2ème génération |
ANSM - Mis à jour le : 27/10/2025
DESOBEL 150 microgrammes/20 microgrammes, comprimé
2. COMPOSITION QUALITATIVE ET QUANTITATIVE
Désogestrel......................................................................................................................... 150 µg
Ethinylestradiol ..................................................................................................................... 20 µg
Pour un comprimé
Excipient(s) à effet notoire : lactose
Pour la liste complète des excipients, voir rubrique 6.1.
4.1. Indications thérapeutiques
La décision de prescrire DESOBEL doit etre prise en tenant compte des facteurs de risque de la patiente, notamment ses facteurs de risque de thrombo-embolie veineuse (TEV), ainsi que du risque de TEV associé à DESOBEL en comparaison aux autres CHC (Contraceptifs Hormonaux Combinés) (voir rubrique 4.3 et 4.4)
4.2. Posologie et mode d'administration
Les comprimés doivent être pris selon l’ordre indiqué sur la plaquette, chaque jour au même moment de la journée (éventuellement avec un peu d’eau). Un comprimé doit être pris chaque jour pendant 21 jours consécutifs suivis d’un arrêt de 7 jours entre chaque plaquette. Une hémorragie de privation débute habituellement 2 à 3 jours après la prise du dernier comprimé et peut se poursuivre après le début de la plaquette suivante.
Mode d’administration
Modalités d’instauration du traitement par DESOBEL
· Absence de contraception hormonale le mois précédent :
Prendre le 1er comprimé le 1er jour des règles.
· Relais d'une autre méthode contraceptive estroprogestative (contraceptif oral combiné (COC), anneau vaginal ou système transdermique (patch)) :
Prendre de préférence le 1er comprimé de DESOBEL le jour suivant la prise du dernier comprimé actif du contraceptif précédent ou au plus tard le jour qui suit la période habituelle d'arrêt des comprimés ou de prise de comprimés placebo. En relais d’un anneau vaginal ou d’un patch, prendre le 1er comprimé de DESOBEL de préférence le jour du retrait ou au plus tard le jour prévu pour la nouvelle pose.
· Relais d’une contraception progestative seule (pilule microdosée, forme injectable, implant) ou d’un système intra-utérin (SIU) contenant un progestatif :
Le relais d’une contraception microdosée peut se faire à tout moment du cycle et DESOBEL devra être débuté le lendemain de l’arrêt. Le relais d’un implant ou d’un SIU contenant un progestatif se fait le jour du retrait, ou le jour prévu pour la nouvelle injection s’il s’agit du relais d’un contraceptif injectable. Dans tous les cas, il est recommandé d’utiliser une méthode complémentaire de contraception non hormonale pendant les 7 premiers jours de traitement.
· Après une interruption de grossesse du premier trimestre :
Il est possible de débuter DESOBEL immédiatement. Il n’est pas nécessaire d’utiliser une méthode complémentaire de contraception.
· Après un accouchement ou après une interruption de grossesse du deuxième trimestre :
Le post-partum immédiat étant associé à une augmentation du risque thrombo-embolique, les contraceptifs oraux estroprogestatifs ne doivent pas être débutés moins de 21 à 28 jours après un accouchement ou une interruption de grossesse du deuxième trimestre. Si le traitement est débuté plus de 28 jours après un accouchement ou une interruption de grossesse du deuxième trimestre, il est recommandé d’utiliser une méthode complémentaire de contraception de type mécanique pendant les 7 premiers jours de traitement. Cependant, si des rapports sexuels ont déjà eu lieu, il convient de s’assurer de l’absence de grossesse avant le début de prise de contraceptif oral estroprogestatif ou d’attendre les premières règles.
En cas d’allaitement : voir rubrique 4.6.
|
Cas d'oubli d'un ou de plusieurs comprimés. |
L'oubli d'un comprimé expose à un risque de grossesse.
La sécurité contraceptive peut être diminuée en cas d’oubli particulièrement si cet oubli augmente l’intervalle de temps entre le dernier comprimé de la plaquette en cours et le 1er comprimé de la plaquette suivante.
Si l'oubli d’un comprimé est constaté dans les 12 heures qui suivent l'heure habituelle de la prise, prendre immédiatement le comprimé oublié, et poursuivre la prise du COC normalement en prenant le comprimé suivant à l'heure habituelle.
Si l'oubli d’un comprimé est constaté plus de 12 heures après l'heure normale de la prise, l’efficacité contraceptive peut être réduite. En cas d'oubli de comprimés, les deux règles suivantes doivent être connues car nécessaires pour choisir la conduite à tenir :
1. L’intervalle entre 2 plaquettes ne doit jamais dépasser 7 jours ;
2. Sept jours de prise ininterrompue du traitement sont nécessaires afin d’obtenir une inhibition correcte de l'axe hypothalamo-hypophyso-ovarien.
En conséquence, les conseils suivants pourront être donnés dans le cadre de la pratique quotidienne :
· Semaine 1
Il devra être demandé aux femmes de prendre le dernier comprimé oublié dès que l'oubli est constaté, même si cela implique la prise de deux comprimés en même temps.
Les comprimés suivants devront être pris à l'heure habituelle. Une contraception mécanique complémentaire (préservatifs par exemple) est cependant nécessaire pendant les 7 jours suivants. Si des rapports sexuels ont eu lieu au cours des 7 jours précédant l’oubli, il existe un risque de grossesse.
Le risque de grossesse est d'autant plus élevé que le nombre de comprimés oubliés est important ou que la date de l'oubli est proche de l’intervalle habituel sans prise de comprimé.
· Semaine 2
Il devra être recommandé aux femmes de prendre le dernier comprimé oublié dès que l’oubli est constaté, même si cela implique la prise de deux comprimés en même temps.
Les comprimés suivants devront être pris à l'heure habituelle.
Si les comprimés ont été pris correctement au cours des 7 jours précédant le premier comprimé oublié, aucune mesure contraceptive complémentaire n'est nécessaire. Cependant, en cas d'oubli de plusieurs comprimés, il devra être recommandé aux femmes de prendre des précautions complémentaires pendant 7 jours.
· Semaine 3
Le risque de diminution de l'activité contraceptive est maximal en raison de la proximité de l’arrêt de 7 jours. Il est cependant possible d'empêcher la diminution de l'effet contraceptif en ajustant comme suit les modalités de prise des comprimés :
· Si la femme a pris correctement tous les comprimés pendant les 7 jours précédant l'oubli d'un comprimé, aucune mesure contraceptive complémentaire n'est nécessaire. Il est possible de suivre l'un des 2 schémas de prise décrits ci-dessous.
· Dans le cas contraire, il devra être recommandé aux femmes de suivre le premier schéma de prise et d'utiliser une méthode contraceptive complémentaire pendant les 7 jours suivants :
o Schéma 1 :
Il sera recommandé aux femmes de prendre le dernier comprimé oublié dès que cet oubli est constaté, même si deux comprimés doivent être pris en même temps. Les comprimés suivants seront ensuite pris à l'heure habituelle. La plaquette suivante doit être commencée dès la fin de la précédente, c'est-à-dire sans arrêt entre les deux plaquettes. Une hémorragie de privation est peu probable avant la fin de la seconde plaquette, mais des spottings (gouttes ou taches de sang) ou des métrorragies peuvent être observées pendant la durée de prise des comprimés.
o Schéma 2 :
Un arrêt de la prise des comprimés de la plaquette en cours peut alternativement être conseillé aux femmes dans cette situation. Dans ce cas, un arrêt de 7 jours maximum, incluant le nombre de jours où des comprimés ont été oubliés, devra être respecté avant de commencer la plaquette suivante.
Chez une femme ayant oublié de prendre un (des) comprimé(s), l'absence d'hémorragie de privation entre les deux plaquettes devra faire rechercher une éventuelle grossesse.
Conduite à tenir en cas de troubles gastro-intestinaux :
En cas de troubles gastro-intestinaux sévères (par exemple des vomissements ou une diarrhée), l’absorption d’un comprimé peut ne pas être complète et des mesures contraceptives complémentaires doivent donc être prises.
Si des vomissements se produisent dans les 3-4 heures suivant la prise du comprimé, un nouveau comprimé doit être pris en remplacement dès que possible. Le nouveau comprimé doit être pris si possible dans les 12 heures qui suivent l'heure habituelle de prise. Si plus de 12 heures se sont écoulées, les mêmes consignes que celles données pour les oublis de comprimés doivent s'appliquer (voir rubrique 4.2. «Cas d'oubli d'un ou plusieurs comprimés»).
Dans le cas d’épisodes prolongés, une autre méthode contraceptive fiable doit être envisagée.
En cas de survenue pour la première fois de l’une de ces pathologies lors de la prise d’un CHC, interrompre immédiatement le traitement :
· Présence ou risque de thrombo-embolie veineuse (TEV)
o Thrombo-embolie veineuse – présence de TEV (patiente traitée par des anticoagulants) ou antécédents de TEV (p. ex. thrombose veineuse profonde [TVP] ou embolie pulmonaire [EP]).
o Prédisposition connue, héréditaire ou acquise, à la thrombo-embolie veineuse, telle qu’une résistance à la protéine C activée (PCa) (y compris une mutation du facteur V de Leiden), un déficit en antithrombine III, un déficit en protéine C, un déficit en protéine S.
o Intervention chirurgicale majeure avec immobilisation prolongée (voir rubrique 4.4).
o Risque élevé de thrombo-embolie veineuse dû à la présence de multiples facteurs de risque (voir rubrique 4.4).
· Présence ou risque de thrombo-embolie artérielle (TEA)
o Thrombo-embolie artérielle – présence ou antécédents de thrombo-embolie artérielle (p. ex. infarctus du myocarde [IM]) ou de prodromes (p. ex. angine de poitrine).
o Affection cérébrovasculaire – présence ou antécédents d’accident vasculaire cérébral (AVC) ou de prodromes (p. ex. accident ischémique transitoire [AIT]).
o Prédisposition connue, héréditaire ou acquise, à la thrombo-embolie artérielle, telle qu’une hyperhomocystéinémie ou la présence d’anticorps anti-phospholipides (anticorps anti-cardiolipine, anticoagulant lupique).
o Antécédents de migraine avec signes neurologiques focaux.
o Risque élevé de thrombo-embolie artérielle dû à la présence de multiples facteurs de risque (voir rubrique 4.4) ou d’un facteur de risque sévère tel que :
§ diabète avec symptômes vasculaires ;
§ hypertension artérielle sévère ;
§ dyslipoprotéinémie sévère.
· Pancréatite ou antécédent de pancréatite associée à une hypertriglycéridémie sévère.
· Présence ou antécédent d’affection hépatique sévère tant que les paramètres de la fonction hépatique ne sont pas normalisés.
· Tumeur hépatique (bénigne ou maligne) évolutive ou ancienne.
· Tumeur maligne hormono-dépendante connue ou suspectée (exemple: organes génitaux ou seins).
· Hyperplasie endométriale.
· Hémorragies génitales non diagnostiquées.
· Hypersensibilité aux substances actives ou à l’un des excipients listés en rubrique 6.1.
· DESOBEL est contre-indiquée en association avec le millepertuis, lors de l’utilisation concomitante de médicaments contenant de l'ombistavir/paritaprévir/ ritonavir et dasabuvir, ou de médicaments contenant du glécaprévir/pibrentasvir ou sofosbuvir/velpatasvir/voxilaprévir (voir 4.5).
4.4. Mises en garde spéciales et précautions d'emploi
Si la patiente présente l’un des troubles ou l’un des facteurs de risque mentionnés ci-dessous, la pertinence du traitement par DESOBEL doit être discutée avec elle.
En cas d’aggravation ou de survenue de l’un de ces troubles ou facteurs de risque, la nécessité d’interrompre l’utilisation de DESOBEL doit être discutée entre le médecin et la patiente. Troubles circulatoires :
Risque de thrombo-embolie veineuse (TEV)
Le risque de TEV est augmenté chez les femmes qui utilisent un contraceptif hormonal combiné (CHC) en comparaison aux femmes qui n’en utilisent pas. Les CHC contenant du lévonorgestrel, du norgestimate ou de la noréthistérone sont associés au risque de TEV le plus faible. Le risque de TEV associé aux autres CHC, tels que DESOBEL, peut être jusqu’à deux fois plus élevé. La décision d’utiliser tout autre CHC que ceux associés au risque de TEV le plus faible doit être prise uniquement après concertation avec la patiente afin de s’assurer qu’elle comprend le risque de TEV associé à DESOBEL, l’influence de ses facteurs de risque actuels sur ce risque et le fait que le risque de TEV est maximal pendant la première année d’utilisation. Certaines données indiquent également une augmentation du risque lors de la reprise d’un CHC après une interruption de 4 semaines ou plus.
Parmi les femmes qui n’utilisent pas de CHC et qui ne sont pas enceintes, environ 2 sur 10 000 développeront une TEV sur une période d’un an. Cependant, chez une femme donnée, le risque peut être considérablement plus élevé, selon les facteurs de risque qu’elle présente (voir ci-dessous).
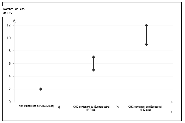
On estime1 que sur 10 000 femmes qui utilisent un CHC contenant du désogestrel, 9 à 12 développeront une TEV sur une période d’un an ; ce nombre est à comparer à celui d’environ 62 chez les femmes qui utilisent un CHC contenant du lévonorgestrel.
Dans les deux cas, le nombre de TEV par année est inférieur à celui attendu pendant la grossesse ou en période post-partum.
La TEV peut être fatale dans 1 à 2 % des cas.
---------------------------------------------------------------------------------
1Ces incidences ont été estimées à partir de l’ensemble des données des études épidémiologiques, en s’appuyant sur les risques relatifs liés aux différents CHC en comparaison aux CHC contenant du lévonorgestrel.
2Point central de l’intervalle de 5-7 pour 10 000 années-femmes sur la base d’un risque relatif, pour les CHC contenant du lévonorgestrel par rapport à la non-utilisation d’un CHC, d’environ 2,3 à 3,6
Nombre de cas de TEV pour 10 000 femmes sur une période d’un an

De façon extrêmement rare, des cas de thrombose ont été signalés chez des utilisatrices de CHC dans d’autres vaisseaux sanguins, p. ex. les veines et artères hépatiques, mésentériques, rénales ou rétiniennes.
Facteurs de risque de TEV
Le risque de complications thrombo-emboliques veineuses chez les utilisatrices de CHC peut être considérablement accru si d’autres facteurs de risque sont présents, en particulier si ceux-ci sont multiples (voir le tableau ci-dessous).
DESOBEL est contre-indiqué chez les femmes présentant de multiples facteurs de risque, ceux-ci les exposant à un risque élevé de thrombose veineuse (voir rubrique 4.3).
Lorsqu’une femme présente plus d’un facteur de risque, il est possible que l’augmentation du risque soit supérieure à la somme des risques associés à chaque facteur pris individuellement – dans ce cas, le risque global de TEV doit être pris en compte. Si le rapport bénéfice/risque est jugé défavorable, le CHC ne doit pas être prescrit (voir rubrique 4.3).
Tableau : Facteurs de risque de TEV
|
Facteur de risque |
Commentaire |
|
Obésité (indice de masse corporelle supérieur à 30 kg/m²) |
L’élévation de l’IMC augmente considérablement le risque. Ceci est particulièrement important à prendre en compte si d’autres facteurs de risque sont présents. |
|
Immobilisation prolongée, intervention chirurgicale majeure, toute intervention chirurgicale sur les jambes ou le bassin, neurochirurgie ou traumatisme majeur
Remarque : l’immobilisation temporaire, y compris les trajets aériens > 4 heures, peut également constituer un facteur de risque de TEV, en particulier chez les femmes présentant d’autres facteurs de risque |
Dans ces situations, il est conseillé de suspendre l’utilisation de la pilule (au moins quatre semaines à l’avance en cas de chirurgie programmée) et de ne reprendre le CHC que deux semaines au moins après la complète remobilisation. Une autre méthode de contraception doit être utilisée afin d’éviter une grossesse non désirée. Un traitement anti-thrombotique devra être envisagé si DESOBEL n’a pas été interrompu à l’avance. |
|
Antécédents familiaux (thrombo-embolie veineuse survenue dans la fratrie ou chez un parent, en particulier à un âge relativement jeune, c.-à-d. avant 50 ans) |
En cas de prédisposition héréditaire suspectée, la femme devra être adressée à un spécialiste pour avis avant toute décision concernant l’utilisation de CHC |
|
Autres affections médicales associées à la TEV |
Cancer, lupus érythémateux disséminé, syndrome hémolytique et urémique, maladies inflammatoires chroniques intestinales (maladie de Crohn ou rectocolite hémorragique) et drépanocytose |
|
Âge |
En particulier au-delà de 35 ans |
Il n’existe aucun consensus quant au rôle éventuel joué par les varices et les thrombophlébites superficielles dans l’apparition ou la progression d’une thrombose veineuse.
L’augmentation du risque de thrombo-embolie pendant la grossesse, et en particulier pendant les 6 semaines de la période puerpérale, doit être prise en compte (pour des informations concernant « Grossesse et allaitement », voir rubrique 4.6).
Symptômes de TEV (thrombose veineuse profonde et embolie pulmonaire)
Les femmes doivent être informées qu’en cas d’apparition de ces symptômes, elles doivent consulter un médecin en urgence et lui indiquer qu’elles utilisent un CHC.
Les symptômes de la thrombose veineuse profonde (TVP) peuvent inclure :
· gonflement unilatéral d’une jambe et/ou d’un pied ou le long d’une veine de la jambe ;
· douleur ou sensibilité dans une jambe, pouvant n’être ressentie qu’en position debout ou lors de la marche ;
· sensation de chaleur, rougeur ou changement de la coloration cutanée de la jambe affectée.
Les symptômes de l’embolie pulmonaire (EP) peuvent inclure :
· apparition soudaine et inexpliquée d’un essoufflement ou d’une accélération de la respiration ;
· toux soudaine, pouvant être associée à une hémoptysie ;
· douleur thoracique aiguë ;
· étourdissements ou sensations vertigineuses sévères ;
· battements cardiaques rapides ou irréguliers.
Certains de ces symptômes (p. ex. « essoufflement », « toux ») ne sont pas spécifiques et peuvent être interprétés à tort comme des signes d’événements plus fréquents ou moins sévères (infections respiratoires, p. ex.).
Les autres signes d’une occlusion vasculaire peuvent inclure : douleur soudaine, gonflement et coloration légèrement bleutée d’une extrémité.
Si l’occlusion se produit dans l’œil, les symptômes peuvent débuter sous la forme d’une vision trouble indolore pouvant évoluer vers une perte de la vision. Dans certains cas, la perte de la vision peut survenir presque immédiatement.
Risque de thrombo-embolie artérielle (TEA)
Des études épidémiologiques ont montré une association entre l’utilisation de CHC et l’augmentation du risque de thrombo-embolie artérielle (infarctus du myocarde) ou d’accident cérébrovasculaire (p. ex. accident ischémique transitoire, AVC). Les événements thrombo-emboliques artériels peuvent être fatals.
Facteurs de risque de TEA
Le risque de complications thrombo-emboliques artérielles ou d’accident cérébrovasculaire chez les utilisatrices de CHC augmente avec la présence de facteurs de risque (voir le tableau). DESOBEL est contre-indiqué chez les femmes présentant un facteur de risque sévère ou de multiples facteurs de risque de TEA qui les exposent à un risque élevé de thrombose artérielle (voir rubrique 4.3).
Lorsqu’une femme présente plus d’un facteur de risque, il est possible que l’augmentation du risque soit supérieure à la somme des risques associés à chaque facteur pris individuellement – dans ce cas, le risque global doit être pris en compte. Si le rapport bénéfice/risque est jugé défavorable, le CHC ne doit pas être prescrit (voir rubrique 4.3).
Tableau : Facteurs de risque de TEA
|
Facteur de risque |
Commentaire |
|
Âge |
En particulier au-delà de 35 ans |
|
Tabagisme |
Il doit être conseillé aux femmes de ne pas fumer si elles souhaitent utiliser un CHC. Il doit être fortement conseillé aux femmes de plus de 35 ans qui continuent de fumer d’utiliser une méthode de contraception différente. |
|
Hypertension artérielle |
|
|
Obésité (indice de masse corporelle supérieur à 30 kg/m2) |
L’élévation de l’IMC augmente considérablement le risque. Ceci est particulièrement important à prendre en compte chez les femmes présentant d’autres facteurs de risque. |
|
Antécédents familiaux (thrombo-embolie artérielle survenue dans la fratrie ou chez un parent, en particulier à un âge relativement jeune, c.-à-d. avant 50 ans) |
En cas de prédisposition héréditaire suspectée, la femme devra être adressée à un spécialiste pour avis avant toute décision concernant l’utilisation de CHC. |
|
Migraine |
L’accroissement de la fréquence ou de la sévérité des migraines lors de l’utilisation d’un CHC (qui peut être le prodrome d’un événement cérébrovasculaire) peut constituer un motif d’arrêt immédiat du CHC. |
|
Autres affections médicales associées à des événements indésirables vasculaires |
Diabète, hyperhomocystéinémie, valvulopathie cardiaque et fibrillation auriculaire, dyslipoprotéinémie et lupus érythémateux disséminé |
Symptômes de TEA
Les femmes doivent être informées qu’en cas d’apparition de ces symptômes, elles doivent consulter un médecin en urgence et lui indiquer qu’elles utilisent un CHC.
Les symptômes d’un accident cérébrovasculaire peuvent inclure :
· apparition soudaine d’un engourdissement ou d’une faiblesse du visage, d’un bras ou d’une jambe, en particulier d’un côté du corps ;
· apparition soudaine de difficultés à marcher, de sensations vertigineuses, d’une perte d’équilibre ou de coordination ;
· apparition soudaine d’une confusion, de difficultés à parler ou à comprendre ;
· apparition soudaine de difficultés à voir d’un œil ou des deux yeux ;
· céphalée soudaine, sévère ou prolongée, sans cause connue ;
· perte de conscience ou évanouissement avec ou sans crise convulsive.
Des symptômes temporaires suggèrent qu’il s’agit d’un accident ischémique transitoire (AIT).
Les symptômes de l’infarctus du myocarde (IM) peuvent inclure :
· douleur, gêne, pression, lourdeur, sensation d’oppression ou d’encombrement dans la poitrine, le bras ou sous le sternum ;
· sensation de gêne irradiant vers le dos, la mâchoire, la gorge, le bras, l’estomac ;
· sensation d’encombrement, d’indigestion ou de suffocation ;
· transpiration, nausées, vomissements ou sensations vertigineuses ;
· faiblesse, anxiété ou essoufflement extrêmes ;
· battements cardiaques rapides ou irréguliers.
Cancers
Certaines études épidémiologiques suggèrent que les contraceptifs estroprogestatifs pourraient être associés à une augmentation du risque de cancer du col de l'utérus chez les utilisatrices de COC à long terme (> 5 ans). Il n'est cependant pas établi si ces pathologies sont dues à d'autres facteurs comme le comportement sexuel et le papillomavirus virus humain (HPV).
Une méta-analyse de 54 études épidémiologiques a conclu qu'il existe une légère augmentation du risque relatif (RR = 1,24) de cancer du sein chez les femmes sous contraception estroprogestative. Cette majoration du risque disparaît progressivement au cours des 10 ans qui suivent l’arrêt d'une contraception estroprogestative.
Le cancer du sein étant rare chez les femmes de moins de 40 ans, le nombre plus élevé de cancers diagnostiqués chez les utilisatrices habituelles ou nouvelles utilisatrices d'une contraception orale reste faible par rapport au risque global de cancer du sein.
Ces études ne permettent pas d'établir une relation de causalité. Il est possible que, chez les utilisatrices de contraception estroprogestative, cette augmentation du risque soit due à un diagnostic plus précoce du cancer du sein, aux effets biologiques de cette contraception ou à l'association des deux. Les cancers du sein diagnostiqués chez les utilisatrices ont tendance à être moins évolués cliniquement par rapport à ceux diagnostiqués chez des femmes n'en ayant jamais utilisé.
Dans de rares cas, des tumeurs bénignes du foie, et dans de plus rares cas encore, des tumeurs malignes du foie ont été rapportées chez des utilisatrices de contraceptifs estroprogestatifs. Dans des cas isolés, ces tumeurs ont conduit à des hémorragies intra-abdominales mettant en jeu le pronostic vital. Chez les femmes sous contraceptifs oraux, la survenue de douleurs de la partie supérieure de l'abdomen, d'augmentation du volume du foie ou de signes d'hémorragie intra-abdominale doit faire évoquer une tumeur hépatique.
L’utilisation de contraceptifs estroprogestatifs plus fortement dosés (50 µg éthinylestradiol) diminue le risque de cancer de l’endomètre et de l’ovaire. Ceci demande à être confirmé avec les contraceptifs estroprogestatifs plus faiblement dosés.
Autres pathologies
Chez les femmes atteintes d'hypertriglycéridémie ou ayant des antécédents familiaux d'hypertriglycéridémie, un risque accru de pancréatite peut survenir en cas d’utilisation d'une contraception estroprogestative.
Une augmentation modérée de la pression artérielle a été observée chez de nombreuses femmes sous contraception estroprogestative : rarement cliniquement significative. Une interruption immédiate de la contraception orale n’est justifiée que dans ces rares cas.
La persistance de chiffres tensionnels élevés ou le non contrôle des chiffres tensionnels par un traitement antihypertenseur chez une femme hypertendue prenant une contraception estroprogestative doit faire interrompre celle-ci.
Cette contraception pourra éventuellement être reprise après normalisation des chiffres tensionnels par un traitement antihypertenseur.
La survenue ou l'aggravation des pathologies suivantes a été observée au cours de la grossesse ou chez des femmes prenant des contraceptifs estroprogestatifs, bien que la responsabilité des estroprogestatifs n'ait pu être établie : ictère et/ou prurit dû à une cholestase, lithiase biliaire, porphyrie, lupus érythémateux disséminé, syndrome hémolytico-urémique, chorée de Sydenham, herpès gravidique, hypoacousie par otosclérose.
Les œstrogènes exogènes peuvent déclencher ou aggraver les symptômes d’un angio-oedème héréditaire ou acquis.
La survenue d'anomalies hépatiques aiguës ou chroniques peut nécessiter l'arrêt des contraceptifs estroprogestatifs jusqu'à la normalisation des paramètres hépatiques.
La récidive d'un ictère cholestatique et/ou d'un prurit liés à une cholestase survenue au cours d'une grossesse précédente ou de la prise antérieure d'hormones stéroïdiennes doit faire arrêter les contraceptifs estroprogestatifs.
Les contraceptifs estroprogestatifs peuvent avoir un effet sur la résistance périphérique à l'insuline et la tolérance au glucose ; il n'est cependant pas obligatoire de modifier le traitement chez des diabétiques utilisant une contraception estroprogestative faiblement dosée (contenant moins de 0,05 mg d'éthinylestradiol). Les femmes diabétiques doivent cependant être étroitement surveillées, en particulier lors de l'instauration d'une contraception estroprogestative.
Des cas d'aggravations de dépression endogène, d'épilepsie, de maladie de Crohn et de rectocolite hémorragique ont été observés sous contraceptifs estroprogestatifs.
Un chloasma peut survenir, en particulier chez les femmes ayant des antécédents de chloasma gravidique. Les femmes ayant une prédisposition au chloasma sous contraceptifs estroprogestatifs doivent éviter de s'exposer au soleil ou aux rayons ultra-violets.
L’état dépressif et la dépression sont des effets indésirables bien connus liés à l’utilisation de contraceptifs hormonaux (voir rubrique 4.8). La dépression peut être grave et constitue un facteur de risque bien connu de comportement suicidaire et de suicide. Il convient de conseiller aux femmes de contacter leur médecin en cas de changements d’humeur et de symptômes dépressifs, y compris peu de temps après le début du traitement.
Ce médicament contient du lactose. Les patients présentant une intolérance au galactose, un déficit total en lactase ou un syndrome de malabsorption du glucose et du galactose (maladies héréditaires rares) ne doivent pas prendre ce médicament.
Consultation/examen médical
Avant l’instauration ou la reprise d’un traitement par DESOBEL, une recherche complète des antécédents médicaux (y compris les antécédents familiaux) doit être effectuée et la présence d’une grossesse doit être exclue. La pression artérielle doit être mesurée et un examen physique doit être réalisé, en ayant à l’esprit les contre-indications (voir rubrique 4.3) et les mises en garde (voir rubrique 4.4). Il est important d’attirer l’attention des patientes sur les informations relatives à la thrombose veineuse et artérielle, y compris le risque associé à DESOBEL comparé à celui associé aux autres CHC, les symptômes de la TEV et de la TEA, les facteurs de risque connus et la conduite à tenir en cas de suspicion de thrombose.
Il doit également être indiqué aux patientes de lire attentivement la notice et de suivre les conseils fournis. La fréquence et la nature des examens doivent être définies sur la base des recommandations en vigueur et adaptées à chaque patiente.
Les patientes doivent être averties que les contraceptifs hormonaux ne protègent pas contre l’infection par le VIH (SIDA) et les autres maladies sexuellement transmissibles.
Diminution de l’efficacité :
L'efficacité de DESOBEL peut être diminuée en cas d'oubli de comprimés (voir rubrique 4.2), de troubles gastro-intestinaux (voir rubrique 4.2) ou de prise concomitante de traitements qui diminuent la concentration plasmatique d’éthinylestradiol et/ou d’étonogestrel, métabolite actif du désogestrel (voir rubrique 4.5).
Troubles du cycle :
Des saignements irréguliers (« spottings » ou métrorragies) peuvent survenir sous contraceptifs estroprogestatifs, en particulier au cours des premiers mois. Ces saignements irréguliers seront considérés comme significatifs s'ils persistent après environ 3 cycles.
Si les saignements irréguliers persistent ou surviennent après des cycles réguliers, une recherche étiologique non hormonale doit alors être effectuée; des examens diagnostiques appropriés doivent être pratiqués afin d'exclure une tumeur maligne ou une grossesse. Ces examens peuvent comporter un curetage.
Chez certaines femmes, les hémorragies de privation peuvent ne pas survenir au cours de l'intervalle libre. Si la contraception orale a été suivie telle que décrite dans la rubrique 4.2, il est peu probable que la femme soit enceinte. Cependant, si la contraception orale n'a pas été suivie correctement avant l’absence de la première hémorragie de privation ou si deux hémorragies de privation successives ne se produisent pas, il convient de s'assurer de l'absence de grossesse avant de poursuivre cette contraception.
4.5. Interactions avec d'autres médicaments et autres formes d'interactions
Note : les informations concernant les médicaments prescrits en association doivent être consultées afin d’identifier les interactions éventuelles.
Effets d’autres médicaments sur DESOBEL :
Des interactions peuvent se produire avec les médicaments ou les produits à base de plantes inducteurs des enzymes microsomales, spécifiquement les enzymes du cytochrome P450 (CYP), pouvant conduire à une augmentation de la clairance des hormones sexuelles et entraîner des saignements irréguliers et/ou des échecs contraceptifs.
Conduite à tenir
Une induction enzymatique peut déjà être observée après quelques jours de traitement. L’induction enzymatique maximale est généralement observée au bout de quelques semaines. Après l'arrêt du traitement, l’induction enzymatique peut perdurer environ 4 semaines.
Traitement à court terme
Les femmes traitées par des médicaments ou produits à base de plantes inducteurs enzymatiques, doivent utiliser temporairement une méthode barrière ou une autre méthode de contraception en complément de DESOBEL. La méthode barrière doit être utilisée pendant toute la durée du traitement concomitant et pendant les 28 jours après son arrêt.
Traitement à long terme
Chez les femmes prenant à long terme un traitement ayant un effet inducteur sur les enzymes hépatiques, une autre méthode de contraception fiable, non hormonale et non affectée par des médicaments inducteurs enzymatique est recommandée.
Les interactions suivantes ont été rapportées dans la littérature.
Substances augmentant la clairance de DESOBEL (induction enzymatique), par exemple
la phénytoïne, le phénobarbital, la primidone, le bosentan, la carbamazépine, la rifampicine, certains inhibiteurs de la protéase du VIH (ex. ritonavir) et les inhibiteurs non nucléosidiques de la transcriptase inverse (ex. éfavirenz, névirapine), et potentiellement aussi l’oxcarbazépine, le topiramate, la rifabutine, le felbamate, la griséofulvine, le modafinil, le vemurafenib, le perampanel, le rufinamide ainsi que les produits contenant du millepertuis.
Substances ayant des effets variables sur la clairance de DESOBEL
Lors de l’administration concomitante avec des contraceptifs hormonaux, de nombreuses associations d’inhibiteurs de la protéase du VIH et d’inhibiteurs non nucléosidiques de la transcriptase inverse, et/ou des associations avec des médicaments contre le virus de l'hépatite C (VHC) (ex. bocéprévir, télaprévir), peuvent augmenter ou diminuer les concentrations plasmatiques des progestatifs, y compris l’étonogestrel, ou des estrogènes. Dans certains cas, l'impact de ces modifications peut être cliniquement significatif.
Par conséquent, les informations et les recommandations concernant les médicaments prescrits contre VIH / VHC en association doivent être consultées afin d’identifier les interactions éventuelles. En cas de doute, une méthode contraceptive barrière supplémentaire devrait être utilisée par les femmes traitées par un inhibiteur de la protéase ou un inhibiteur non nucléosidique de la transcriptase inverse.
Substances diminuant la clairance de DESOBEL (inhibition enzymatique)
La pertinence clinique des interactions potentielles avec les inhibiteurs enzymatiques reste inconnue. L’administration concomitante d’inhibiteurs du CYP3A4 puissants (par exemple, kétoconazole, itraconazole, clarithromycine) ou modérés (par exemple, fluconazole, diltiazem, érythromycine) peut augmenter les concentrations sériques des estrogènes ou des progestatifs, y compris l’étonogestrel.
L’administration d'étoricoxib à des doses de 60 mg à 120 mg par jour a entrainé une augmentation des concentrations plasmatiques d'éthinylestradiol de 1,4 à 1,6 fois, respectivement, lors d’une prise concomitante avec un contraceptif hormonal combiné contenant 0,035 mg d'éthinylestradiol.
Effets de DESOBEL sur d'autres médicaments :
Les contraceptifs hormonaux COC peuvent interférer avec le métabolisme d'autres médicaments. En conséquent, les concentrations plasmatiques et tissulaires peuvent soit augmenter (ex. ciclosporine) soit diminuer (ex. lamotrigine).
Les données cliniques suggèrent que l'éthinylestradiol inhibe la clairance des substrats du CYP1A2 conduisant à une augmentation faible (par exemple la théophylline) ou modérée (par exemple, la tizanidine) de leur concentration plasmatique
Interactions pharmacodynamiques :
Au cours des essais cliniques menés chez des patients traités pour une infection par le virus de l'hépatite C (VHC) et recevant des médicaments contenant ombitasvir/paritaprevir/ritonavir et dasabuvir, avec ou sans ribavirine, il a été observé des augmentations de transaminase (ALAT) supérieures à 5 fois la limite supérieure de la normale (LSN), significativement plus fréquentes chez les femmes utilisant des médicaments contenant de l'éthinylestradiol, tel que les contraceptifs hormonaux combinés (CHC). De plus, chez des patients traités par le glecaprevir/pibrentasvir ou sofosbuvir/velpatasvir/voxilaprevir, des augmentations des ALAT ont été observées chez les femmes utilisant des médicaments contenant de l'éthinylestradiol tels que les CHC (voir la rubrique 4.3).
Par conséquent, les utilisatrices de DESOBEL doivent passer à une méthode alternative de contraception (par exemple une contraception progestative seule ou des méthodes non hormonales) avant de commencer un traitement avec ces associations de médicaments. DESOBEL pourra être réutilisé 2 semaines après la fin du traitement ces associations de médicaments.
Examens biologiques :
L’utilisation d’associations estroprogestatives peut modifier les résultats de certains examens biologiques tels que : les tests fonctionnels hépatiques, thyroïdiens, surrénaliens et rénaux, le taux plasmatique des protéines (porteuses) comme la corticosteroid-binding globulin (CBG) et des fractions lipidiques/lipoprotéiniques, les paramètres du métabolisme glucidique, les paramètres de la coagulation et de la fibrinolyse. Les modifications restent en général dans les limites de la normale.
4.6. Fertilité, grossesse et allaitement
Grossesse
DESOBEL n’est pas indiqué pendant la grossesse. Si une grossesse survient au cours de l’utilisation de DESOBEL, la prise de DESOBEL doit immédiatement être interrompue.
De nombreuses études épidémiologiques n’ont pas révélé d’augmentation du risque d’anomalies congénitales chez les enfants nés de femmes ayant utilisé un contraceptif oral avant la grossesse.
Aucun effet tératogène n’a été observé lorsqu’un contraceptif oral combiné a été pris par erreur en début de grossesse.
L’augmentation du risque de TEV en période post-partum doit être prise en compte lors de la reprise de DESOBEL (voir rubriques 4.2 et 4.4).
En cas d’allaitement, l’utilisation de ce médicament est déconseillée en raison du passage des estroprogestatifs dans le lait maternel.
Si la femme désire allaiter, un autre moyen de contraception doit être proposé.
4.7. Effets sur l'aptitude à conduire des véhicules et à utiliser des machines
Aucun effet sur l’aptitude à conduire des véhicules et à utiliser des machines n’a été observé.
Description de certains effets indésirables particuliers
Une augmentation du risque d'événement thrombotique et thrombo-embolique artériel et veineux, incluant l’infarctus du myocarde, l’AVC, les accidents ischémiques transitoires, la thrombose veineuse et l’embolie pulmonaire, a été observée chez les femmes utilisant des CHC ; ceci est abordé plus en détails en rubrique 4.4.
Les effets indésirables possiblement liés ayant été rapportés chez les utilisatrices de DESOBEL ou de CHC en général sont listés dans le tableau ci-dessous1 :
|
Classe des systèmes d’organes |
Fréquent (> 1/100) |
Peu fréquent (≥ 1/1 000 et < 1/100) |
Rare (< 1/1 000) |
Fréquence inconnue |
|
Affections du système immunitaire |
|
|
Hypersensibilité |
Aggravation des symptômes d’un angio-œdème héréditaire ou acquis |
|
Affections vasculaires |
|
|
Thrombo-embolie veineuse et thrombo-embolie artérielle |
|
|
Affections du métabolisme et de la nutrition |
|
Rétention d’eau |
|
|
|
Affections psychiatriques |
Humeur dépressive, changement d’humeur |
Diminution de la libido |
Augmentation de la libido |
|
|
Affections du système nerveux |
Maux de tête |
Migraine |
|
|
|
Affections oculaires |
|
|
Intolérance aux lentilles de contact |
|
|
Affections gastro-intestinales |
Nausée, douleur abdominale |
Vomissement, diarrhée |
|
|
|
Affections de la peau et du tissu sous-cutané |
|
Rash, urticaire |
Erythème noueux, érythème polymorphe |
|
|
Affections des organes génitaux et du sein |
Mastodynie, tensions mammaires |
Augmentation du volume des seins |
Ecoulement vaginal, écoulement mammaire |
|
|
Investigations |
Prise de poids |
|
Perte de poids |
|
1 les termes MeDRA (version 11.0) les plus appropriés pour décrire certaines réactions ont été repris. Les synonymes et les conditions apparentées ne sont pas mentionnés mais devront être aussi pris en compte.
Un certain nombre des effets indésirables ayant été rapporté chez les utilisatrices de contraceptifs oraux combinés, sont détaillés dans la rubrique 4.4. :
· hypertension artérielle,
· tumeurs hépatiques,
· apparition ou aggravation d'affections dont l'association avec les CHC n'est pas certaine : maladie de Crohn, colite hémorragique, épilepsie, migraine, fibrome utérin, porphyrie, lupus érythémateux disséminé, herpès gravidique, chorée de Sydenham, syndrome urémique hémolytique, ictère cholestatique,
· chloasma,
· perturbations chroniques ou sévères de la fonction hépatique pouvant nécessiter l'arrêt d'une CHC jusqu'à normalisation des tests de la fonction hépatique.
Interactions
Des métrorragies et/ou un échec de la contraception peuvent être le résultat d’interactions entre d’autres médicaments (inducteurs enzymatiques) et les contraceptifs oraux (voir rubrique 4.5).
Déclaration des effets indésirables suspectés
La déclaration des effets indésirables suspectés après autorisation du médicament est importante. Elle permet une surveillance continue du rapport bénéfice/risque du médicament. Les professionnels de santé déclarent tout effet indésirable suspecté via le système national de déclaration : Agence nationale de sécurité du médicament et des produits de santé (ANSM) et réseau des Centres Régionaux de Pharmacovigilance - Site internet : https://signalement.social-sante.gouv.fr/
Aucun cas de surdosage n'a été rapporté avec DESOBEL, comprimé.
L'expérience générale acquise avec les contraceptifs oraux combinés montre que les symptômes susceptibles d'apparaître dans un tel cas sont les suivants : nausées, vomissements et chez les jeunes filles, petits saignements vaginaux. Il n'existe pas d'antidote et le traitement doit être purement symptomatique.
5. PROPRIETES PHARMACOLOGIQUES
5.1. Propriétés pharmacodynamiques
Classe pharmacothérapeutique : Progestatifs et estrogènes en association fixe, code ATC : G03AA09.
L’effet contraceptif des COC est basé sur l’interaction de divers facteurs, les plus importants étant l’inhibition de l’ovulation et les modifications de la glaire cervicale.
DESOBEL est un contraceptif estro-progestatif combiné monophasique contenant 0,02 mg d’éthinyl-estradiol et 0,15 mg de désogestrel.
L’indice de Pearl de DESOBEL (nombre de grossesses sur 100 années femmes) : étudié sur 25970 cycles est de 0,05 pour 100 années- femmes.
· Population pédiatrique
Aucune donnée clinique concernant l'efficacité et la sécurité n'est disponible chez les adolescentes de moins de 18 ans.
5.2. Propriétés pharmacocinétiques
La demi-vie de l’ethinylestradiol est comprise entre 6 et 31 heures.
La demi-vie du désogestrel est comprise entre 21 heures et 42,5 heures.
5.3. Données de sécurité préclinique
2 ans.
6.4. Précautions particulières de conservation
A conserver à une température inférieure à 30°C
6.5. Nature et contenu de l'emballage extérieur
21 comprimés sous plaquette (PVC/Aluminium) ; boîtes de 1 ou 3.
6.6. Précautions particulières d’élimination et de manipulation
Pas d’exigences particulières.
7. TITULAIRE DE L’AUTORISATION DE MISE SUR LE MARCHE
Bâtiment «Le Newton»
9-11 rue Jeanne Braconnier
92366 MEUDON LA FORET
8. NUMERO(S) D’AUTORISATION DE MISE SUR LE MARCHE
· 34009 397 205 7 9 : 21 comprimés sous plaquettes (PVC/Aluminium). Boîte de 1 plaquette
· 34009 397 206 3 0 : 21 comprimés sous plaquette (PVC/Aluminium). Boîte de 3 plaquettes
9. DATE DE PREMIERE AUTORISATION/DE RENOUVELLEMENT DE L’AUTORISATION
A compléter ultérieurement par le titulaire.
10. DATE DE MISE A JOUR DU TEXTE
A compléter ultérieurement par le titulaire
Sans objet.
12. INSTRUCTIONS POUR LA PREPARATION DES RADIOPHARMACEUTIQUES
Liste I
ANSM - Mis à jour le : 27/10/2025
DESOBEL 150 microgrammes/20 microgrammes, comprimé
Désogestrel / Ethinylestradiol
Points importants à connaître concernant les contraceptifs hormonaux combinés (CHC) :
· Ils comptent parmi les méthodes de contraception réversibles les plus fiables lorsqu’ils sont utilisés correctement.
· Ils augmentent légèrement le risque de formation d’un caillot sanguin dans les veines et les artères, en particulier pendant la première année de leur utilisation ou lorsque le contraceptif hormonal combiné est repris après une interruption de 4 semaines ou plus.
· Soyez vigilante et consultez votre médecin si vous pensez présenter les symptômes évocateurs d’un caillot sanguin (voir rubrique 2 « Caillots sanguins »).
Veuillez lire attentivement cette notice avant de prendre ce médicament car elle contient des informations importantes pour vous.
· Gardez cette notice. Vous pourriez avoir besoin de la relire.
· Si vous avez d’autres questions, interrogez votre médecin, ou votre pharmacien.
· Ce médicament vous a été personnellement prescrit. Ne le donnez pas à d’autres personnes. Il pourrait leur être nocif, même si les signes de leur maladie sont identiques aux vôtres.
· Si vous ressentez un quelconque effet indésirable, parlez-en à votre médecin, ou votre pharmacien. Ceci s’applique aussi à tout effet indésirable qui ne serait pas mentionné dans cette notice. Voir rubrique 4.
1. Qu'est-ce que DESOBEL 150 microgrammes/20 microgrammes, comprimé et dans quels cas est-il utilisé ?
2. Quelles sont les informations à connaître avant de prendre DESOBEL 150 microgrammes/20 microgrammes, comprimé ?
3. Comment prendre DESOBEL 150 microgrammes/20 microgrammes, comprimé ?
4. Quels sont les effets indésirables éventuels ?
5. Comment conserver DESOBEL 150 microgrammes/20 microgrammes, comprimé ?
6. Contenu de l’emballage et autres informations.
1. QU’EST-CE QUE DESOBEL 150 microgrammes/20 microgrammes, comprimé ET DANS QUELS CAS EST-IL UTILISE ?
Classe pharmacothérapeutique - code ATC : G03AB05. CONTRACEPTIF ESTROPROGESTATIF.
(G : Système génito-urinaire et hormones sexuelles)
DESOBEL, comprimé est un contraceptif hormonal oral.
Il empêche l’ovulation et est préconisé dans le but d’éviter une grossesse.
Chaque comprimé contient deux substances actives (éthinylestradiol et désogestrel). Les contraceptifs oraux qui contiennent deux substances à activité hormonale sont appelés contraceptifs oraux "combinés".
2. QUELLES SONT LES INFORMATIONS A CONNAITRE AVANT DE PRENDRE DESOBEL 150 microgrammes/20 microgrammes, comprimé ?
|
Avant de commencer un traitement par DESOBEL, un interrogatoire sur vos antécédents médicaux personnels et familiaux proches sera effectué par votre médecin. Votre pression artérielle sera mesurée et, si nécessaire, selon votre situation personnelle, d'autres examens pourront être demandés. |
|
Avant de commencer à utiliser DESOBEL, vous devez lire les informations concernant les caillots sanguins (thrombose) en rubrique 2. Il est particulièrement important de lire la description des symptômes d’un caillot sanguin (voir rubrique 2, « Caillots sanguins »). Cette notice décrit plusieurs situations dans lesquelles vous devez arrêter de prendre DESOBEL, ou décrit des circonstances dans lesquelles l'efficacité contraceptive peut être diminuée. Dans ces cas, vous ne devez pas avoir de rapports sexuels ou alors, vous devez utiliser d'autres méthodes contraceptives non hormonales comme le préservatif ou toute autre barrière mécanique. N'utilisez pas de méthodes naturelles de contraception (mesure de la température, aspect de la glaire cervicale). En effet, ces méthodes peuvent ne pas être fiables car DESOBEL, a un effet sur la température corporelle et sur la glaire cervicale. DESOBEL, comme tous les autres contraceptifs oraux, ne protège pas de l’infection par le VIH (SIDA) ou des autres infections sexuellement transmissibles. |
Ne prenez jamais DESOBEL 150 microgrammes/20 microgrammes, comprimé :
Vous ne devez pas utiliser DESOBEL si vous êtes dans l’une des situations listées ci-dessous. Si tel est le cas, vous devez en informer votre médecin. Votre médecin discutera avec vous d’autres méthodes de contraception qui seraient plus adaptées.
· si vous avez (ou avez déjà eu) un caillot dans un vaisseau sanguin d’une jambe (thrombose veineuse profonde [TVP]), d’un poumon (embolie pulmonaire [EP]) ou d’autres organes ;
· si vous vous savez atteinte d’un trouble affectant la coagulation sanguine - par exemple, un déficit en protéine C, un déficit en protéine S, un déficit en antithrombine III, une mutation du facteur V de Leiden ou la présence d’anticorps anti-phospholipides ;
· si vous devez être opérée ou si vous êtes alitée pendant une durée prolongée (voir la rubrique « Caillots sanguins ») ;
· si vous avez déjà eu une crise cardiaque ou un accident vasculaire cérébral (AVC) ;
· si vous avez (ou avez déjà eu) une angine de poitrine (une maladie provoquant des douleurs intenses dans la poitrine et pouvant être le signe précurseur d’une crise cardiaque) ou un accident ischémique transitoire (AIT - symptômes temporaires d’AVC) ;
· si vous avez l’une des maladies suivantes pouvant augmenter le risque de caillot dans les artères :
o diabète sévère avec atteinte des vaisseaux sanguins,
o pression artérielle très élevée,
o taux très élevé de graisses dans le sang (cholestérol ou triglycérides),
o maladie appelée hyperhomocystéinémie.
· si vous avez (ou avez déjà eu) un type de migraine appelé « migraine avec aura ».
· si vous avez ou avez eu une inflammation du pancréas (pancréatite) ;
· si vous avez ou avez eu une affection du foie avec absence de normalisation de votre fonction hépatique ;
· si vous avez ou vous avez eu une tumeur du foie ;
· si vous avez des antécédents ou une suspicion de cancer du sein ou des organes génitaux ;
· si vous avez des saignements vaginaux inexpliqués ;
· si vous avez une hyperplasie endométriale (développement anormal de la paroi de l’utérus).
· si vous êtes allergique à l'éthinylestradiol ou au désogestrel, ou à l'un des composants de DESOBEL.
· en association avec du millepertuis (voir rubrique Prise ou utilisation d’autres médicaments).
· Si vous avez une hépatite C et que vous prenez des médicaments contenant du dasabuvir, de l’ombitasvir, du paritaprévir et du ritonavir ou du glécaprévir/pibrentasvir ou sofosbuvir/velpatasvir/ voxilaprévir (voir rubrique Autres médicaments et DESOBEL).
Avertissements et précautions
Faites attention avec DESOBEL 150 microgrammes/20 microgrammes, comprimé :
|
Dans quels cas devez-vous contacter votre médecin ? Consultez un médecin de toute urgence - si vous remarquez de possibles signes d’un caillot sanguin, qui pourraient indiquer que vous avez un caillot sanguin dans une jambe (thrombose veineuse profonde), que vous avez un caillot sanguin dans un poumon (embolie pulmonaire) ou que vous faites une crise cardiaque ou un AVC (voir la rubrique « Caillots sanguins » ci-dessous). Pour la description des symptômes de ces effets indésirables graves, reportez-vous à la rubrique « Comment reconnaître un caillot sanguin ». |
Si vous êtes dans l’une des situations suivantes, informez-en votre médecin.
Si le problème apparaît ou s’aggrave pendant l’utilisation de DESOBEL, vous devez également en informer votre médecin :
· en cas de survenue ou antécédent de cancer du sein chez un parent proche ;
· si vous avez une affection du foie ou de la vésicule biliaire ;
· si vous êtes diabétique ;
· en cas de dépression ;
· si vous êtes atteinte de la maladie de Crohn ou de rectocolite hémorragique (maladies inflammatoires chroniques des intestins) ;
· si vous avez un lupus érythémateux disséminé (LED) (une maladie qui affecte votre système de défenses naturelles) ;
· si vous avez un syndrome hémolytique et urémique (SHU) (un trouble de la coagulation sanguine qui entraîne une défaillance des reins) ;
· si vous avez une drépanocytose (une maladie héréditaire touchant les globules rouges) ;
· si avez des taux élevés de graisses dans le sang (hypertriglycéridémie) ou des antécédents familiaux de ce trouble. L’hypertriglycéridémie a été associée à une augmentation du risque de pancréatite (inflammation du pancréas) ;
· si vous devez être opérée ou si vous êtes alitée pendant une durée prolongée (reportez-vous à la rubrique 2, « Caillots sanguins ») ;
· si vous venez juste d’accoucher, vous êtes exposée à un risque augmenté de caillots sanguins. Vous devez demander à votre médecin combien de temps après l’accouchement vous pouvez commencer à prendre DESOBEL ;
· si vous avez une inflammation des veines situées sous la peau (thrombophlébite superficielle) ;
· si vous avez des varices ;
· si vous êtes épileptique (voir rubrique Prise ou utilisation d’autres médicaments) ;
· si vous avez présenté l'une des pathologies suivantes lors d'une grossesse ou la prise antérieure d'un traitement hormonal : perte auditive, maladie du sang appelée porphyrie, herpès gestationnel (éruption de vésicules sur la peau pendant la grossesse), chorée de Sydenham (maladie des nerfs avec survenue de mouvements corporels brusques non contrôlés) ;
· en cas d'antécédent ou de survenue de chloasma (taches brun doré en particulier sur le visage, appelées « masque de grossesse »). Dans ce cas, évitez toute exposition directe au soleil ou aux rayons ultraviolets ;
· si vous développez des symptômes d’angio-oedème, tels qu’un gonflement du visage, de la langue et/ou de la gorge et/ou des difficultés à avaler ou une urticaire avec éventuellement des difficultés à respirer, consultez immédiatement votre médecin. Les produits contenant des œstrogènes peuvent déclencher ou aggraver les symptômes d’un angio-oedème héréditaire ou acquis.
· la prise de ce médicament est à éviter en association avec certains médicaments utilisés dans le traitement de l’épilepsie (carbamazépine, fosphénytoïne, oxcarbazépine, phénobarbital, phénytoïne, primidone, topiramate), certains anti-infectieux (efavirenz, névirapine, nelfinavir, ritonavir, rifampicine, rifabutine) ou avec le modafinil (voir rubrique 'Prise ou utilisation d'autres médicaments).
DESOBEL et caillots sanguins
L’utilisation d’un contraceptif hormonal combiné tel que DESOBEL augmente le risque d’apparition d’un caillot sanguin en comparaison à une non-utilisation. Dans de rares cas, un caillot sanguin peut bloquer des vaisseaux sanguins et provoquer de graves problèmes.
Les caillots sanguins peuvent se former :
· dans les veines (on parle alors de « thrombose veineuse » ou de « thrombo-embolie veineuse » [TEV]) ;
· dans les artères (on parle alors de « thrombose artérielle » ou de « thrombo-embolie artérielle » [TEA]).
Le rétablissement, suite à des caillots sanguins, n’est pas toujours complet. Dans de rares cas, ils peuvent entraîner des séquelles graves et durables et, dans de très rares cas, ils peuvent être fatals.
Il est important de garder à l’esprit que le risque global de caillot sanguin dû à DESOBEL est faible.
COMMENT RECONNAÎTRE UN CAILLOT SANGUIN
Consultez un médecin de toute urgence si vous remarquez l’un des signes ou symptômes suivants.
|
Présentez-vous l’un de ces signes ? |
Il peut éventuellement s’agir de : |
|
· gonflement d’une jambe ou le long d’une veine de la jambe ou du pied, en particulier s’il s’accompagne de : o douleur ou sensibilité dans la jambe, pouvant n’être ressentie qu’en position debout ou lors de la marche o chaleur dans la jambe affectée o changement de couleur de la peau de la jambe, devenant p. ex. pâle, rouge ou bleue |
Thrombose veineuse profonde |
|
· apparition soudaine et inexpliquée d’un essoufflement ou d’une respiration rapide · toux soudaine sans cause apparente, avec parfois des crachats de sang · douleur aiguë dans la poitrine, qui peut s’accentuer en cas de respiration profonde · étourdissements ou sensations vertigineuses sévères · battements de cœur rapides ou irréguliers · douleur intense dans l’estomac En cas de doute, consultez un médecin car certains de ces symptômes, comme la toux ou l’essoufflement, peuvent être pris à tort pour les signes d’une maladie moins sévère telle qu’une infection respiratoire (p.ex. un simple rhume). |
Embolie pulmonaire |
|
Symptômes apparaissant le plus souvent dans un seul œil : · perte immédiate de la vision ou vision trouble sans douleur pouvant évoluer vers une perte de la vision |
Thrombose veineuse rétinienne (caillot sanguin dans l’œil) |
|
· douleur, gêne, pression, lourdeur dans la poitrine ; · sensation d’oppression ou d’encombrement dans la poitrine, le bras ou sous le sternum ; · sensation d’encombrement, d’indigestion ou de suffocation ; · sensation de gêne dans le haut du corps irradiant vers le dos, la mâchoire, la gorge, le bras et l’estomac ; · transpiration, nausées, vomissements ou sensations vertigineuses ; · faiblesse, anxiété ou essoufflement extrêmes ; · battements de cœur rapides ou irréguliers |
Crise cardiaque |
|
· apparition soudaine d’une faiblesse ou d’un engourdissement au niveau du visage, d’un bras ou d’une jambe, en particulier d’un côté du corps ; · apparition soudaine d’une confusion, de difficultés à parler ou à comprendre ; · apparition soudaine de difficultés à voir d’un œil ou des deux yeux ; · apparition soudaine de difficultés à marcher, de sensations vertigineuses, d’une perte d’équilibre ou de coordination ; · maux de tête soudains, sévères ou prolongés, sans cause connue ; · perte de conscience ou évanouissement avec ou sans crise convulsive. Parfois, les symptômes de l’AVC peuvent être de courte durée, avec un rétablissement presque immédiat et complet, mais vous devez tout de même consulter un médecin de toute urgence car vous pourriez être exposée au risque d’un nouvel AVC. |
Accident vasculaire cérébral (AVC) |
|
· gonflement et coloration légèrement bleutée d’une extrémité ; · douleur intense dans l’estomac (« abdomen aigu ») |
Caillots sanguins bloquant d’autres vaisseaux sanguins
|
CAILLOTS SANGUINS DANS UNE VEINE
Que peut-il se passer si un caillot sanguin se forme dans une veine ?
· Un lien a été établi entre l’utilisation de contraceptifs hormonaux combinés et l’augmentation du risque de caillots sanguins dans les veines (thrombose veineuse). Cependant, ces effets indésirables sont rares. Le plus souvent, ils surviennent pendant la première année d’utilisation d’un contraceptif hormonal combiné.
· Lorsqu’un caillot sanguin se forme dans une veine d’une jambe ou d’un pied, il peut provoquer une thrombose veineuse profonde (TVP).
· Si le caillot sanguin migre de la jambe vers le poumon, il peut provoquer une embolie pulmonaire.
· Dans de très rares cas, un caillot peut se former dans une veine d’un autre organe, comme l’œil (thrombose veineuse rétinienne).
À quel moment le risque d’apparition d’un caillot sanguin dans une veine est-il le plus élevé ?
· Le risque d’apparition d’un caillot sanguin dans une veine est maximal pendant la première année d’utilisation d’un contraceptif hormonal combiné pris pour la première fois. Le risque peut également être augmenté lorsque vous recommencez à prendre un contraceptif hormonal combiné (le même produit ou un produit différent) après une interruption de 4 semaines ou plus.
· Après la première année, le risque diminue mais reste toujours légèrement plus élevé que si vous n’utilisiez pas de contraceptif hormonal combiné.
· Lorsque vous arrêtez de prendre DESOBEL, le risque d’apparition de caillot sanguin revient à la normale en quelques semaines.
Quel est le risque d’apparition d’un caillot sanguin ?
Le risque dépend de votre risque de base de TEV et du type de contraceptif hormonal combiné que vous prenez.
Le risque global de caillot sanguin dans une jambe ou un poumon (TVP ou EP) associé à DESOBEL est faible.
· Sur 10 000 femmes qui n’utilisent aucun contraceptif hormonal combiné et qui ne sont pas enceintes, environ 2 développeront un caillot sanguin sur une période d’un an.
· Sur 10 000 femmes qui utilisent un contraceptif hormonal combiné contenant du lévonorgestrel, de la noréthistérone ou du norgestimate, environ 5 à 7 développeront un caillot sanguin sur une période d’un an.
· Sur 10 000 femmes qui utilisent un contraceptif hormonal combiné contenant du désogestrel, comme DESOBEL, environ 9 à 12 développeront un caillot sanguin sur une période d’un an.
· Le risque d’apparition d’un caillot sanguin variera selon vos antécédents médicaux personnels (voir « Facteurs augmentant le risque de caillot sanguin » ci-dessous).
|
|
Risque d’apparition d’un caillot sanguin sur une période d’un an |
|
Femmes qui n’utilisent pas de contraceptif hormonal combiné (pilule/patch/anneau) et qui ne sont pas enceintes |
Environ 2 femmes sur 10 000 |
|
Femmes qui utilisent une pilule contraceptive hormonale combinée contenant du lévonorgestrel, de la noréthistérone ou du norgestimate |
Environ 5 à 7 femmes sur 10 000 |
|
Femmes qui utilisent DESOBEL |
Environ 9 à 12 femmes sur 10 000 |
Facteurs augmentant le risque de caillot sanguin dans une veine
Le risque de caillot sanguin associé à DESOBEL est faible mais certaines situations peuvent augmenter ce risque. Le risque sera plus élevé :
· si vous avez un surpoids important (indice de masse corporelle [IMC] supérieur à 30 kg/m2) ;
· si l’un des membres de votre famille proche a eu un caillot sanguin dans une jambe, un poumon ou un autre organe à un âge relativement jeune (p. ex. avant l’âge de 50 ans). Si tel est le cas, vous pourriez être atteinte d’un trouble héréditaire de la coagulation sanguine ;
· si vous devez être opérée ou si vous êtes alitée pendant une période prolongée en raison d’une blessure ou d’une maladie, ou si votre jambe est immobilisée (p. ex. plâtre). Il pourra être nécessaire d’interrompre l’utilisation de DESOBEL plusieurs semaines avant l’opération chirurgicale et/ou tant que votre mobilité est réduite. Si vous devez arrêter d’utiliser DESOBEL, demandez à votre médecin à quel moment vous pourrez recommencer à l’utiliser.
· avec l’âge (en particulier au-delà de 35 ans) ;
· si vous avez accouché dans les semaines précédentes.
Plus vous cumulez ces situations, plus le risque d’apparition d’un caillot sanguin augmente.
Les voyages en avion (de plus de 4 heures) peuvent augmenter temporairement le risque de caillot sanguin, en particulier si vous présentez déjà certains des autres facteurs listés.
Il est important de prévenir votre médecin si vous êtes concernée par l’une de ces situations, même si vous n’en êtes pas certaine. Votre médecin pourra décider qu’il est nécessaire d’arrêter le traitement par DESOBEL.
Si l’une des situations ci-dessus évolue pendant la période où vous utilisez DESOBEL, par exemple si un membre de votre famille proche développe une thrombose sans raison connue ou si vous prenez beaucoup de poids, parlez-en à votre médecin.
CAILLOTS SANGUINS DANS UNE ARTÈRE
Que peut-il se passer si un caillot sanguin se forme dans une artère ?
Comme un caillot sanguin dans une veine, un caillot dans une artère peut provoquer de graves problèmes. Par exemple, il peut provoquer une crise cardiaque ou un accident vasculaire cérébral (AVC).
Facteurs augmentant le risque de caillot sanguin dans une artère
Il est important de noter que le risque de crise cardiaque ou d’AVC lié à l’utilisation de DESOBEL est très faible mais peut augmenter :
· avec l’âge (au-delà de 35 ans) ;
· si vous fumez. Lors de l’utilisation d’un contraceptif hormonal combiné tel que DESOBEL, il est conseillé d’arrêter de fumer. Si vous ne parvenez pas à arrêter de fumer et si vous êtes âgée de plus de 35 ans, votre médecin pourra vous conseiller d’utiliser une méthode de contraception différente ;
· si vous êtes en surpoids ;
· si vous avez une pression artérielle élevée ;
· si un membre de votre famille proche a déjà eu une crise cardiaque ou un AVC à un âge relativement jeune (avant l’âge de 50 ans). Si tel est le cas, le risque que vous ayez une crise cardiaque ou un AVC pourrait également être plus élevé;
· si vous, ou un membre de votre famille proche, avez un taux de graisses élevé dans le sang (cholestérol ou triglycérides) ;
· si vous avez des migraines, en particulier des migraines avec aura ;
· si vous avez des problèmes cardiaques (maladie de la valve cardiaque, trouble du rythme appelé fibrillation auriculaire) ;
· si vous êtes diabétique.
Si vous cumulez plusieurs de ces situations ou si l’une d’entre elles est particulièrement sévère, le risque d’apparition d’un caillot sanguin peut être encore plus élevé.
Si l’une des situations ci-dessus évolue pendant la période où vous utilisez DESOBEL, par exemple si vous commencez à fumer, si un membre de votre famille proche développe une thrombose sans raison connue ou si vous prenez beaucoup de poids, parlez-en à votre médecin.
DESOBEL et Cancer
Le cancer du sein est plus fréquent chez les femmes qui prennent un contraceptif oral sans que l’on sache si ce traitement en est la cause. Il n'est cependant pas établi si cette différence est due au contraceptif oral. En effet, il est possible que les femmes prenant un contraceptif oral soient examinées plus souvent par leur médecin attentivement. Cette différence disparaît progressivement après l'arrêt du contraceptif oral.
Il est important d'examiner régulièrement vos seins. En cas de survenue d'une grosseur suspecte, contactez votre médecin.
Dans de rares cas, des tumeurs bénignes du foie, et plus rarement encore des tumeurs malignes du foie ont été observées chez des femmes prenant un contraceptif oral. Consultez votre médecin si vous présentez subitement des maux de ventre intenses.
Le cancer du col de l’utérus est dû à une infection par le papillomavirus humain (VPH). Il a été rapporté qu’il survient plus souvent chez les femmes prenant la pilule pendant une longue période. Il n’est pas établi si ces observations sont liées à l’utilisation de contraceptifs hormonaux ou à des comportements sexuels et à d’autres facteurs (comme un meilleur dépistage par frottis).
Troubles psychiatriques
Certaines femmes qui utilisent des contraceptifs hormonaux dont DESOBEL ont fait état d’une dépression ou d’un état dépressif. La dépression peut être grave et peut parfois donner lieu à des idées suicidaires. Si vous présentez des changements d’humeur et des symptômes dépressifs, sollicitez les conseils de votre médecin dès que possible.
Saignements entre les règles
Des saignements entre les règles, en dehors de la semaine d'interruption, peuvent survenir dans les premiers mois d'un traitement par DESOBEL. Si ces saignements persistent plusieurs mois ou s'ils apparaissent au bout de plusieurs mois d'utilisation, votre médecin doit en rechercher la cause.
Que faire si vos règles ne surviennent pas pendant la période d’arrêt entre deux plaquettes ?
Si vous avez pris correctement tous les comprimés, si vous n'avez pas eu de vomissements ou de diarrhées sévères et si vous n'avez pas pris d'autres médicaments, il est peu probable que vous soyez enceinte.
Si vous n'avez pas vos règles deux fois de suite, il se peut que vous soyez enceinte. Consultez immédiatement votre médecin. Ne commencez pas la plaquette suivante tant que vous n'êtes pas certaine de ne pas être enceinte.
Utilisation chez les adolescentes
Aucune donnée clinique concernant l'efficacité et la sécurité n'est disponible chez les adolescentes de moins de 18 ans.
En cas de doute, ne pas hésiter à demander l’avis de votre médecin ou de votre pharmacien.
Autres médicaments et DESOBEL 150 microgrammes/20 microgrammes, comprimé
Prise ou utilisation d'autres médicaments
Indiquez toujours au médecin qui vous prescrit DESOBEL les autres médicaments ou préparations à base de plantes que vous prenez déjà.
Indiquez également à tout autre médecin ou dentiste qui vous prescrira un autre médicament (ou à votre pharmacien) que vous utilisez DESOBEL. Ils pourront vous dire si vous avez besoin de prendre des précautions contraceptives supplémentaires (par exemple, des préservatifs) et le cas échéant, pendant combien de temps, ou si un autre médicament dont vous avez besoin doit être changé.
Ne prenez pas DESOBEL si vous avez une hépatite C et que vous prenez des médicaments contenant de l’ombitasvir/paritaprévir/ritonavir et du dasabuvir, du glécaprévir/pibrentasvir ou sofosbuvir/ velpatasvir/voxilaprévir car ces produits pourraient entraîner des élévations aux tests sanguins de la fonction hépatique (élévation de l’enzyme hépatique ALAT).
Votre médecin vous prescrira un autre moyen de contraception avant l’instauration du traitement avec ces médicaments.
DESOBEL peut être repris environ 2 semaines après la fin de ce traitement. Voir la rubrique « Dans quels cas vous ne devez jamais utiliser DESOBEL 150 microgrammes/20 microgrammes, comprimé enrobé».
Certains médicaments
· peuvent influer sur les taux sanguins de DESOBEL ;
· peuvent le rendre moins efficace pour prévenir une grossesse ;
· peuvent provoquer des saignements inattendus.
Cela inclut des médicaments utilisés pour le traitement :
· de l’épilepsie (tels que : primidone, phénytoïne, phénobarbital, carbamazépine, oxcarbazépine, topiramate, felbamate, le perampanel, le rufinamide) ;
· de la tuberculose (tels que : rifampicine, rifabutine) ;
· des infections par le HIV (tels que ritonavir, névirapine, efavirenz, de l’infection par le virus de l’hépatite C (tels que bocéprévir, télaprévir) ;
· d’autres maladies infectieuses (tels que griséofulvine) ;
· de l’hypertension artérielle dans les vaisseaux sanguins du poumon (bosentan) ;
· de l’état dépressif (remède à base de millepertuis) ;
· de la narcolepsie (modafinil) ;
· d’un certain type de cancer de la peau (vémurafénib).
Si vous prenez des médicaments ou des produits à base de plantes pouvant diminuer l’efficacité de DESOBEL, une méthode contraceptive barrière doit également être utilisée. Comme l'effet d'un autre médicament sur DESOBEL peut durer jusqu'à 28 jours après l'arrêt du médicament, il est nécessaire d'utiliser une méthode contraceptive barrière complémentaire pendant toute cette durée.
DESOBEL peut influencer l'effet d’autres médicaments tels que :
· les médicaments contenant de la ciclosporine ;
un anti-épileptique : la lamotrigine (cela pourrait conduire à une augmentation de la fréquence des crises d’épilepsie).
Examens biologiques
Si vous devez effectuer un examen sanguin, informez votre médecin ou l'équipe du laboratoire que vous prenez une contraception orale, ces produits pouvant modifier les résultats de certains examens.
DESOBEL 150 microgrammes/20 microgrammes, comprimé avec des aliments et boissons
Sans objet.
Grossesse
En cas de grossesse, ce médicament n'a pas lieu de vous être prescrit.
Si vous découvrez que vous êtes enceinte, arrêtez le traitement, prévenez et consultez votre médecin afin de se conformer à ses recommandations.
Allaitement
En cas d'allaitement, l'utilisation de ce médicament est déconseillée.
Consultez votre médecin si vous désirez prendre un contraceptif oral pendant l'allaitement. Demandez conseil à votre médecin ou à votre pharmacien avant de prendre tout médicament.
Conduite de véhicules et utilisation de machines
Aucun effet n’a été observé.
Informations importantes concernant certains composants de DESOBEL 150 microgrammes/ 20 microgrammes, comprimé :
DESOBEL 150 microgrammes/20 microgrammes, comprimé contient du lactose.
Si votre médecin vous a informé(e) d’une intolérance à certains sucres, contactez-le avant de prendre ce médicament
3. COMMENT PRENDRE DESOBEL 150 microgrammes/20 microgrammes comprimé?
Veillez à toujours prendre ce médicament en suivant exactement les indications de votre médecin ou pharmacien. Vérifiez auprès de votre médecin ou pharmacien en cas de doute.
Quand et comment prendre les comprimés
· Une plaquette de DESOBEL contient 21 comprimés. Sur la plaquette, chaque comprimé est identifié par le jour de la semaine où il doit être pris.
· Prenez un comprimé chaque jour à peu près à la même heure, avec un peu d’eau si nécessaire.
· Suivez les flèches jusqu’à ce que vous ayez pris tous les comprimés.
· Au cours des 7 jours suivants, vous ne prenez pas de comprimé.
· Les règles (hémorragies de privation) devraient commencer pendant ces 7 jours. Normalement, elles débuteront 2-3 jours après le dernier comprimé.
· Commencez la plaquette suivante le 8ème jour, même si les règles continuent. Cela implique que vous allez toujours commencer chaque nouvelle plaquette le même jour de la semaine, et également que vous aurez vos règles à peu près les même jours, chaque cycle.
Quand commencer votre première plaquette de DESOBEL
· Si vous n’avez pas pris de contraception hormonale le mois précédent : prendre le 1er comprimé le 1er jour de vos règles.
· Si vous preniez auparavant un autre contraceptif estroprogestatif, ou un anneau vaginal ou un patch contraceptif : prendre de préférence le 1er comprimé de DESOBEL le jour suivant la prise du dernier comprimé actif du contraceptif précédent ou au plus tard le jour qui suit la période habituelle d'arrêt des comprimés ou de prise des comprimés placebo. Si vous changez de l'anneau vaginal ou du patch, prendre le 1er comprimé de DESOBEL de préférence le jour du retrait ou au plus tard le jour prévu pour la nouvelle pose.
· Si vous utilisiez une méthode progestative seule (une pilule progestative, une méthode injectable, un implant ou un système intra-utérin délivrant un progestatif) :
o en relais d’une pilule progestative : vous pouvez commencer DESOBEL à tout moment du cycle, le lendemain de l’arrêt de la pilule ;
o en relais d’un implant ou d’un système intra-utérin : débutez DESOBEL le jour du retrait ;
o en relais d’un contraceptif injectable : débutez DESOBEL le jour prévu pour la nouvelle injection.
Dans tous les cas, quelle que soit la méthode précédente, vous devez utiliser des précautions complémentaires (par exemple un préservatif) pendant les 7 premiers jours de prise de DESOBEL.
Si vous débutez DESOBEL après une interruption de grossesse du premier trimestre, vous pouvez débuter immédiatement. Il n’est pas nécessaire d’utiliser une méthode complémentaire de contraception.
Si vous débutez DESOBEL après un accouchement ou une interruption de grossesse du deuxième trimestre, vous pouvez commencer DESOBEL 21 à 28 jours après l'accouchement. Si vous commencez après le 28ème jour, vous devez utiliser une contraception barrière complémentaire (par exemple un préservatif) pendant les 7 premiers jours d'utilisation de DESOBEL.
Si, après l'accouchement ou l’interruption de grossesse, vous avez eu un rapport sexuel avant de prendre DESOBEL vous devez vous assurer que vous n'êtes pas enceinte ou attendre les prochaines règles avant de commencer DESOBEL.
Si vous allaitez et que vous souhaitez prendre DESOBEL après un accouchement, lire la rubrique « Allaitement ».
Suivez les indications de votre médecin si vous ne savez pas quand démarrer votre contraception.
Durée de traitement
Selon l’avis médical.
Si vous avez pris plus de DESOBEL 150 microgrammes/20 microgrammes, comprimé que vous n’auriez dû :
Aucune conséquence grave n'a été rapportée suite à un surdosage en DESOBEL.
Le surdosage peut se manifester par des signes digestifs (nausées, vomissements...) et chez les jeunes filles, par de petits saignements vaginaux.
Si vous avez pris plus de DESOBEL que vous n'auriez dû, consultez votre médecin ou votre pharmacien.
Si vous oubliez de prendre DESOBEL 150 microgrammes/20 microgrammes, comprimé
L'oubli d'un comprimé expose à un risque de grossesse.
· Si l'oubli est constaté dans les 12 heures qui suivent l'heure habituelle de la prise d’un comprimé, l’efficacité contraceptive est maintenue. Prenez le comprimé dès que vous constatez l’oubli et prenez les comprimés suivants à l’heure habituelle.
· Si l'oubli est constaté plus de 12 heures après l'heure normale de la prise, il existe un risque de grossesse :
Plus le nombre de comprimés oubliés est important, plus le risque que l’efficacité contraceptive soit réduite est élevé. Il y a un risque particulièrement élevé d’être enceinte si vous oubliez des comprimés au début ou à la fin de la plaquette. Vous devez donc suivre les conseils décrits ci-dessous (voir également le schéma ci-dessous).
· Plus d’un comprimé oublié pour une plaquette
Demandez conseil à votre médecin.
o Oubli d’un comprimé en semaine 1 :
· Prenez le comprimé oublié dès que vous constatez l’oubli (même si cela implique que vous preniez deux comprimés en même temps). Prenez les comprimés suivants à l’heure habituelle et utilisez des précautions complémentaires les 7 jours suivants, par exemple, un préservatif. Si des rapports sexuels ont eu lieu au cours des 7 jours précédant l'oubli ou si vous avez oublié de commencer une nouvelle plaquette après l'intervalle libre, il existe un risque de grossesse. Dans ce cas, consultez votre médecin.
o Oubli d’un comprimé en semaine 2 :
· Prenez le comprimé oublié dès que vous constatez l’oubli (même si cela implique que vous preniez deux comprimés en même temps) et prenez les comprimés suivants à l’heure habituelle. Si vous aviez bien pris vos comprimés (sans oubli) au cours des 7 jours qui ont précédé l’oubli, l’efficacité de la pilule est maintenue et vous n’avez pas besoin de prendre des précautions contraceptives supplémentaires. Si ce n’était pas le cas, prenez des précautions contraceptives supplémentaires (méthode mécanique comme un préservatif) pendant les 7 jours suivants.
o Oubli d’un comprimé en semaine 3 :
· Vous devez choisir l’une des 2 options suivantes, sans qu’il soit nécessaire de prendre des précautions contraceptives supplémentaires.
1. Prenez le comprimé oublié dès que vous constatez l’oubli (même si cela implique que vous preniez deux comprimés en même temps) et prenez les comprimés suivants à l’heure habituelle. Commencez la plaquette suivante dès la fin de la plaquette en cours, il n’y a donc pas d’intervalle sans prise de comprimé entre les plaquettes. Il est possible que vous n’ayez pas vos règles avant la fin de la seconde plaquette, mais vous pourrez avoir des petites pertes de sang (« spotting ») ou des saignements entre les règles au cours de la seconde plaquette.
Ou
2. Arrêtez de prendre les comprimés de votre plaquette en cours, respectez un intervalle sans prise de comprimé de 7 jours maximum (y compris le jour où vous avez oublié de prendre un comprimé). Puis, continuez avec la plaquette suivante. Si vous voulez commencer une nouvelle plaquette le jour habituel de votre première prise, raccourcissez l’intervalle sans prise de comprimé à moins de 7 jours.
· Si vous avez oublié des comprimés d’une plaquette et que vous n’avez pas eu vos règles prévues au cours du premier intervalle habituel sans prise de comprimé, vous pouvez être enceinte. Consultez votre médecin avant de commencer la plaquette suivante.

Si vous souffrez de troubles gastro-intestinaux (par exemple, vomissement, diarrhée sévère) :
Si vous vomissez dans les 3 ou 4 heures qui suivent la prise d'un comprimé ou si vous avez une diarrhée sévère, l'absorption du comprimé peut ne pas être complète. La situation est identique à un oubli de comprimé.
Après des vomissements ou une diarrhée, prenez un autre comprimé d'une plaquette de réserve dès que possible et si possible dans les 12 heures qui suivent l’heure habituelle de prise.
Si vous ne pouvez pas respecter ce délai ou si plus de 12 heures se sont écoulées, les mêmes consignes que celles données pour les oublis de comprimés de plus de 12 heures s'appliquent. Reportez-vous à la rubrique « Si vous oubliez de prendre DESOBEL, comprimé». Si ces troubles digestifs persistent, vous devez consulter votre médecin sur la conduite à tenir.
Si vous voulez arrêter de prendre DESOBEL :
Vous pouvez arrêter de prendre DESOBEL dès que vous le souhaitez. Si vous ne voulez pas être enceinte, interrogez votre médecin sur les autres méthodes de contraception existantes.
Si vous avez d’autres questions sur l’utilisation de ce médicament, demandez plus d’informations à votre médecin ou à votre pharmacien.
4. QUELS SONT LES EFFETS INDESIRABLES EVENTUELS ?
Si vous ressentez un quelconque effet indésirable, en particulier si l’effet est sévère et persistant, ou si vous remarquez une modification de votre état de santé qui pourrait selon vous être due à DESOBEL, informez-en votre médecin.
Il existe une augmentation du risque de caillots sanguins dans les veines (thrombo-embolie veineuse [TEV]) ou dans les artères (thrombo-embolie artérielle [TEA]) chez toutes les femmes qui prennent des contraceptifs hormonaux combinés. Pour plus de précisions sur les différents risques associés à la prise de contraceptifs hormonaux combinés, reportez-vous à la rubrique 2, « Quelles sont les informations à connaître avant d’utiliser DESOBEL 150 microgrammes/20 microgrammes, comprimé ».
Effets indésirables fréquents (se produisant chez plus d’une personne sur 100 utilisatrices)
· humeur dépressive, changement d’humeur
· maux de tête
· nausées, douleur abdominale
· douleur au niveau des seins, sensibilité des seins
· prise de poids.
Effets indésirables peu fréquents (se produisant chez plus d’une personne sur 1000 utilisatrices mais chez moins d’une personne pour 100 utilisatrices)
· rétention d’eau
· diminution des pulsions sexuelles
· migraine
· vomissement, diarrhée
· éruption cutanée, urticaire
· augmentation du volume des seins
Effets indésirables rares (se produisant chez moins d’une personne pour 1000 utilisatrices)
· caillots sanguins dans une veine ou une artère, par exemple :
o dans une jambe ou un pied (thrombose veineuse profonde, TVP) ;
o dans un poumon (embolie pulmonaire, EP) ;
o crise cardiaque ;
o accident vasculaire cérébral (AVC) ;
o mini-AVC ou symptômes temporaires de type AVC, connus sous le nom d’accident ischémique transitoire (AIT) ;
o caillots sanguins dans le foie, l’estomac/l’intestin, les reins ou un œil.
Le risque d’apparition d’un caillot sanguin peut être plus élevé si vous présentez certains autres facteurs qui augmentent ce risque (voir rubrique 2 pour plus d’informations sur les facteurs augmentant le risque de caillots sanguins et les symptômes d’un caillot sanguin).
· réactions allergiques
· augmentation des pulsions sexuelles
· intolérance aux lentilles de contact
· érythème noueux, érythème multiforme (ce sont des maladies de la peau)
· écoulement mammaire, sécrétion vaginale
· perte de poids.
Effets indésirables graves
Consultez immédiatement un médecin, si vous développez l’un des symptômes d’angio-œdème suivants : gonflement du visage, de la langue et/ou de la gorge et/ou des difficultés à avaler ou une urticaire avec éventuellement des difficultés à respirer (voir aussi « Avertissements et précautions »).
Déclaration des effets secondaires
Si vous ressentez un quelconque effet indésirable, parlez-en à votre médecin ou votre pharmacien ou à votre infirmier/ère. Ceci s’applique aussi à tout effet indésirable qui ne serait pas mentionné dans cette notice. Vous pouvez également déclarer les effets indésirables directement via le système national de déclaration : Agence nationale de sécurité du médicament et des produits de santé (ANSM) et réseau des Centres Régionaux de Pharmacovigilance - Site internet : https://signalement.social-sante.gouv.fr/
En signalant les effets indésirables, vous contribuez à fournir davantage d’informations sur la sécurité du médicament.
5. COMMENT CONSERVER DESOBEL 150 microgrammes/20 microgrammes, comprimé ?
Tenir ce médicament hors de la vue et de la portée des enfants.
Ne pas utiliser DESOBEL 150 microgrammes/20 microgrammes, comprimé après la date de péremption mentionnée sur la boîte.
A conserver à une température inférieure à 30°C.
Les médicaments ne doivent pas être jetés au tout à l’égout ou avec les ordures ménagères. Demandez à votre pharmacien ce qu’il faut faire des médicaments inutilisés. Ces mesures permettront de protéger l’environnement.
6. CONTENU DE L’EMBALLAGE ET AUTRES INFORMATIONS
Ce que contient DESOBEL 150 microgrammes/20 microgrammes, comprimé
· Les substances actives sont :
Désogestrel.................................................................................................................... 150 μg
Ethinylestradiol................................................................................................................. 20 μg
Pour un comprimé
· Les autres composants sont : l’amidon de maïs, le lactose monohydraté, la cellulose microcristalline, l’acétate d’α-tocophérol, la silice colloïdale anhydre, le stéarate de magnésium, l’acide stéarique, la povidone.
Qu’est-ce que DESOBEL 150 microgrammes/20 microgrammes, comprimé et contenu de l’emballage extérieur
Ce médicament se présente sous forme de comprimé. Chaque boite comprend 1 ou 3 plaquettes de 21 comprimés.
Titulaire de l’autorisation de mise sur le marché
Bâtiment «Le Newton»
9-11 rue Jeanne Braconnier
92366 MEUDON LA FORET
Exploitant de l’autorisation de mise sur le marché
EFFIK
BATIMENT «LE NEWTON»
9-11 RUE JEANNE BRACONNIER
92366 MEUDON LA FORET
BATIMENT "LE NEWTON"
9/11, RUE JEANNE BRACONNIER
92366 MEUDON-LA-FORET
OU
LABORATORIOS LEON FARMA S.A.
C/LA VALLINA S/N
POLIGONO INDUSTRIAL NAVATEJERA
24193 VILLAQUILAMBRE (LEON)
ESPAGNE
Noms du médicament dans les Etats membres de l'Espace Economique Européen
Sans objet.
La dernière date à laquelle cette notice a été révisée est :
A compléter ultérieurement par le titulaire.
Des informations détaillées sur ce médicament sont disponibles sur le site Internet de l’ANSM (France).